精英家教网 > 高中数学 > 题目详情

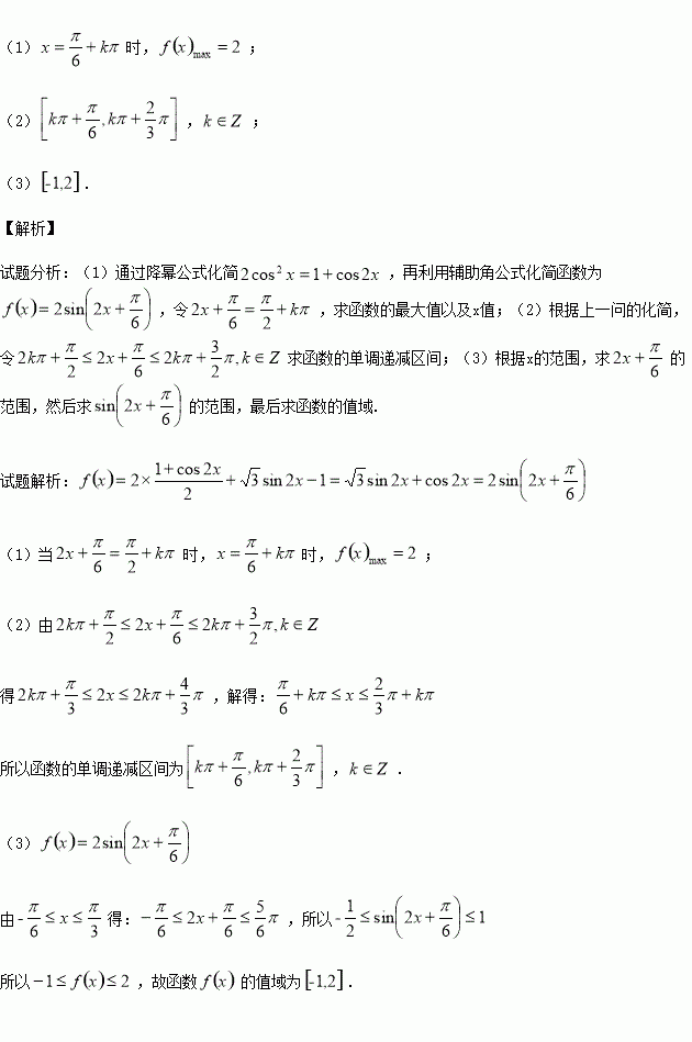
设函数

(1)求的最大值及此时的

(2)求的单调减区间

(3)若

练习册系列答案
相关习题

科目:高中数学 来源:2016-2017学年河南许昌市五校高二上学期联考一数学(理)试卷(解析版) 题型:选择题

函数恒过定点为( )

A. B. C. D.

查看答案和解析>>

科目:高中数学 来源:2015-2016学年江苏连云港东海县房山高级中学高二下期中文数学试卷(解析版) 题型:填空题

观察下列式子:,则可以猜想的结论为:

查看答案和解析>>

科目:高中数学 来源:2015-2016学年江苏连云港东海县二中高二下期中数学(理)试卷(解析版) 题型:填空题

函数的单调减区间为

查看答案和解析>>

科目:高中数学 来源:2015-2016学年江苏连云港东海县二中高二下期中数学(理)试卷(解析版) 题型:填空题

用1,2,3,4,5可以组成没有重复数字的三位数,共有 个.(用数字作答)

查看答案和解析>>

科目:高中数学 来源:2015-2016学年广东省高一下学期期中数学试卷(解析版) 题型:填空题

= .

查看答案和解析>>

科目:高中数学 来源:2015-2016学年广东省高一下学期期中数学试卷(解析版) 题型:选择题

在等比数列{}中,若,则等于( )

A. B. C. D.

查看答案和解析>>

科目:高中数学 来源:2015-2016学年北京东城区高一下学期期末数学试卷(解析版) 题型:填空题

如图所示,在边长为1的正方形中,随机撒豆子,其中有1000粒豆子落在正方形中,180粒落到阴影部分,据此估计阴影部分的面积为_________.

查看答案和解析>>

科目:高中数学 来源:2017届江西省高三第一次联考数学(文)试卷(解析版) 题型:选择题

已知集合,则( )

A. B. C. D.

查看答案和解析>>

同步练习册答案