精英家教网 > 高中数学 > 题目详情

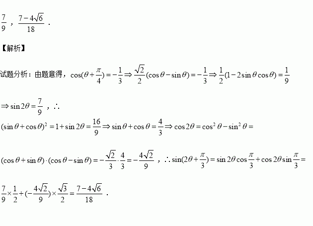
已知为锐角,则

练习册系列答案
相关习题

科目:高中数学 来源:2015-2016学年江西省高一创新上期中数学卷(解析版) 题型:解答题

设二次函数f(x)=ax2+bx+c的图象过点(0,1)和(1,4),且对于任意的实数x,不等式f(x)≥4x恒成立.

(1)求函数f(x)的表达式;

(2)设g(x)=kx+1,若G(x)=在区间[1,2]上是增函数,求实数k的取值范围。

查看答案和解析>>

科目:高中数学 来源:2015-2016学年河北省高二上期中理科数学试卷(解析版) 题型:选择题

已知为虚数单位,,若为纯虚数,则复数 在复平面内对应的点位于( )

A.第一象限 B.第二象限 C.第三象限 D.第四象限

查看答案和解析>>

科目:高中数学 来源:2015-2016学年广东汕头金山中学高二上12月考理数学卷(解析版) 题型:解答题

如图,在中,边上的中线长为3,且

(1)求的值;

(2)求边的长.

查看答案和解析>>

科目:高中数学 来源:2015-2016学年四川省高一上期中数学试卷(解析版) 题型:选择题

设函数,则满足的取值范围( )

A. B. C. D.

查看答案和解析>>

科目:高中数学 来源:2016届浙江省等高三第一次五校联考理科数学试卷(解析版) 题型:填空题

如图,直线平面,垂足为,正四面体(所有棱长都相等的三棱锥)的棱长为2,在平面内,是直线上的动点,当的距离为最大时,正四面体在平面上的射影面积为

查看答案和解析>>

科目:高中数学 来源:2015-2016学年山东潍坊中学高二上学期期末理科数学试卷(解析版) 题型:填空题

已知数列是等比数列,命题“若公比,则数列是递增数列”,则在其逆命题、否命题和逆否命题中,假命题的个数为________.

查看答案和解析>>

科目:高中数学 来源:2016届广西河池高中高三上第五次月考文科数学试卷(解析版) 题型:填空题

在平面直角坐标系中,以点为圆心,且与直线相切的所有圆中,半径最大的圆的标准方程是________.

查看答案和解析>>

科目:高中数学 来源:2015-2016学年宁夏石嘴山三中高一上期中数学试卷(解析版) 题型:填空题

已知幂函数的图象经过点(9,3),则

查看答案和解析>>

同步练习册答案