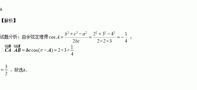
精英家教网 > 高中数学 > 题目详情

在△ABC中,AB=3,AC=2,BC=,则( )

A. B. C. D.

练习册系列答案
相关习题

科目:高中数学 来源:2015-2016学年四川彭州中学高一重点班5月月考数学试卷(解析版) 题型:填空题

若数列满足), ,则数列的通项公式为______.

查看答案和解析>>

科目:高中数学 来源:2015-2016学年福建省高一下周末练数学试卷(解析版) 题型:填空题

取值范围用区间表示为

查看答案和解析>>

科目:高中数学 来源:2015-2016学年重庆十八中高一下期中理科数学试卷(解析版) 题型:解答题

已知函数.

(1)若的解集为,求不等式的解集;

(2)若存在使得成立,求的取值范围.

查看答案和解析>>

科目:高中数学 来源:2015-2016学年重庆十八中高一下期中理科数学试卷(解析版) 题型:填空题

已知船A在灯塔C北偏东且到C的距离为,船B在灯塔C西偏北且到C的距离为,则A,B两船的距离为 .

查看答案和解析>>

科目:高中数学 来源:2015-2016学年重庆十八中高一下期中理科数学试卷(解析版) 题型:选择题

在△ABC中,角的对边分别是,若,则=( )

A. B. C.1 D.2

查看答案和解析>>

科目:高中数学 来源:2015-2016学年广东实验中学高一下期中数学试卷(解析版) 题型:解答题

设数列的前项和为,且;数列为等差数列,且.

(1)求数列的通项公式;

(2)若为数列的前项和. 求.

查看答案和解析>>

科目:高中数学 来源:2015-2016学年广东实验中学高一下期中数学试卷(解析版) 题型:选择题

,则的大小关系为( )

A. B. C. D.不能确定

查看答案和解析>>

科目:高中数学 来源:2015-2016学年河北武邑中学高一下4.24周考数学试卷(解析版) 题型:选择题

如图(1),(2),(3),(4)为四个几何体的三视图,根据三视图可以判断这四个几何体依次分别为( )

A.三棱台、三棱柱、圆锥、圆台 B.三棱台、三棱锥、圆锥、圆台

C.三棱柱、正四棱锥、圆锥、圆台 D.三棱柱、三棱台、圆锥、圆台

查看答案和解析>>

同步练习册答案