精英家教网 > 高中数学 > 题目详情
已知函数(a,b∈R)
(1)若y=f(x)图象上的点处的切线斜率为-4,求y=f(x)的极大值;
(2)若y=f(x)在区间[-1,2]上是单调减函数,求a+b的最小值.
【答案】分析:(1)根据导数的几何意义求出函数f(x)在x=1处的导数,以及切点在图象上建立方程组,解之即可求出a和b求出解析式,先求出f′(x)=0的值,再讨论满足f′(x)=0的点附近的导数的符号的变化情况,来确定极值即可;
(2)将条件“若y=f(x)在区间[-1,2]上是单调减函数”转化成f'(x)=x2+2ax-b≤0在区间[-1,2]上恒成立,根据二次函数图象建立约束条件,利用线性规划的方法求出a+b的最小值即可.
解答:解:(1)∵f'(x)=x2+2ax-b,
∴由题意可知:f'(1)=-4且
解得(3分)

f'(x)=x2-2x-3=(x+1)(x-3)
令f'(x)=0,得x1=-1,x2=3
由此可知:

∴当x=-1时,f(x)取极大值.(6分)
(2)∵y=f(x)在区间[-1,2]上是单调减函数,
∴f'(x)=x2+2ax-b≤0在区间[-1,2]上恒成立.
根据二次函数图象可知f'(-1)≤0且f'(2)≤0,

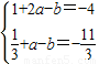
即:
也即(9分)
作出不等式组表示的平面区域如图:

当直线z=a+b经过交点时,z=a+b取得最小值
∴z=a+b取得最小值为(12分)
点评:本题主要考查了利用导数研究曲线上某点切线方程,以及函数的单调性和线性规划的应用,属于基础题.
练习册系列答案
相关习题

科目:高中数学 来源: 题型:

已知函数(a,b∈R),其图象在点(1,f(1))处的切线方程为x+y﹣3=0.

(1)求a,b的值;

(2)求函数f(x)的单调区间和极值;

(3)求函数f(x)在区间[﹣2,5]上的最大值.

查看答案和解析>>

科目:高中数学 来源:2010-2011学年湖北省黄冈市黄州一中高三(上)9月月考数学试卷(解析版) 题型:解答题

已知函数(a,b∈R)
(1)若y=f(x)图象上的点处的切线斜率为-4,求y=f(x)的极大值;
(2)若y=f(x)在区间[-1,2]上是单调减函数,求a+b的最小值.

查看答案和解析>>

科目:高中数学 来源:《第1章 导数及其应用》2010年单元测试卷(3)(解析版) 题型:解答题

已知函数(a,b∈R)
(1)若y=f(x)图象上的点处的切线斜率为-4,求y=f(x)的极大值;
(2)若y=f(x)在区间[-1,2]上是单调减函数,求a+b的最小值.

查看答案和解析>>

科目:高中数学 来源:2009-2010学年江苏省苏州市六校联合高三调研数学试卷(解析版) 题型:解答题

已知函数(a、b∈R),
(Ⅰ)若f(x)在R上存在最大值与最小值,且其最大值与最小值的和为2680,试求a和b的值;
(Ⅱ)若f(x)为奇函数:
(1)是否存在实数b,使得f(x)在为增函数,为减函数,若存在,求出b的值,若不存在,请说明理由;
(2)如果当x≥0时,都有f(x)≤0恒成立,试求b的取值范围.

查看答案和解析>>

科目:高中数学 来源:2009-2010学年江苏省南通市海安高级中学高三(下)3月月考数学试卷(理科)(解析版) 题型:解答题

已知函数(a、b∈R),
(Ⅰ)若f(x)在R上存在最大值与最小值,且其最大值与最小值的和为2680,试求a和b的值;
(Ⅱ)若f(x)为奇函数:
(1)是否存在实数b,使得f(x)在为增函数,为减函数,若存在,求出b的值,若不存在,请说明理由;
(2)如果当x≥0时,都有f(x)≤0恒成立,试求b的取值范围.

查看答案和解析>>

同步练习册答案