精英家教网 > 高中数学 > 题目详情
设等差数列{an}满足a3=5,a10=-9.
(Ⅰ)求{an}的通项公式;
(Ⅱ)求{an}的前n项和Sn及使得Sn最大的序号n的值.
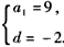
解:(Ⅰ)由an=a1+(n-1)d及a3=5,a10=-9得
,可解得
∴数列{an}的通项公式为an=11-2n.
(Ⅱ)由(Ⅰ)知,
因为Sn=-(n-5)2+25,
所以,当n=5时,Sn取得最大值.
练习册系列答案
相关习题

科目:高中数学 来源: 题型:

设等差数列{an}满足a5=11,a12=-3,{an}的前n项和Sn的最大值为M,则lgM=(  )
A、4B、3C、2D、1

查看答案和解析>>

科目:高中数学 来源: 题型:

(2013•杭州一模)设等差数列{an}满足:
sin2a3-cos2a3+cos2a3cos2a6-sin2a3sin2a6
sin(a4+a5)
=1,公差d∈(-1,0).若当且仅当n=9时,数列{an}的前n项和Sn取得最大值,则首项a1取值范围是(  )

查看答案和解析>>

科目:高中数学 来源: 题型:

设等差数列{an}满足:3a8=5a13,且a1>0,Sn为其前n项之和,则Sn中最大的是(  )

查看答案和解析>>

科目:高中数学 来源:不详 题型:单选题

设等差数列{an}满足a5=11,a12=-3,{an}的前n项和Sn的最大值为M,则lgM=(  )
A.4B.3C.2D.1

查看答案和解析>>

科目:高中数学 来源:2011年安徽省阜阳市太和县第二职业高级中学高三质量检测数学试卷10(理科)(解析版) 题型:选择题

设等差数列{an}满足a5=11,a12=-3,{an}的前n项和Sn的最大值为M,则lgM=( )
A.4
B.3
C.2
D.1

查看答案和解析>>

同步练习册答案