精英家教网 > 高中数学 > 题目详情

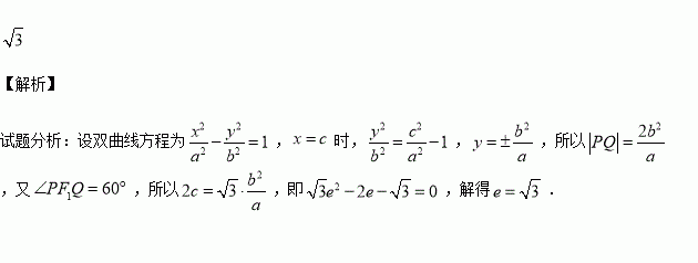
已知F1、F2是双曲线的两焦点,过F2且垂直于实轴的直线交双曲线于P、Q两点,∠PF1Q=60°,则离心率e=______________.

练习册系列答案
相关习题

科目:高中数学 来源:2015-2016学年云南省蒙自市高一10月月考数学试卷(解析版) 题型:选择题

,则( ).

A. B. C. D.

查看答案和解析>>

科目:高中数学 来源:2015-2016学年河南省高二12月考理科数学试卷(解析版) 题型:选择题

设双曲线的右焦点为,过点作与轴垂直的直线交两渐近线于两点,且与双曲线在第一象限的交点为,设为坐标原点,若,则双曲线的离心率为( )

A. B. C. D.

查看答案和解析>>

科目:高中数学 来源:2015-2016学年河北省高一上周考数学试卷(解析版) 题型:解答题

如图,在中,内一点,

(1)若,求

(2)若,求

查看答案和解析>>

科目:高中数学 来源:2015-2016学年内蒙古巴彦淖尔一中高二上期中文科数学卷(解析版) 题型:填空题

已知F1、F2是双曲线的两焦点,过F2且垂直于实轴的直线交双曲线于P、Q两点,∠PF1Q=60°,则离心率e=______________.

查看答案和解析>>

科目:高中数学 来源:2016届上海市七校高三上12月联考文科数学试卷(解析版) 题型:解答题

(2015秋•上海月考)已知=(cos2sinx),=(2,1),设函数f(x)=

(1)当x,求函数f(x)的值域;

(2)当f(α)=,且﹣,求sin(2)的值.

查看答案和解析>>

科目:高中数学 来源:2016届上海市七校高三上12月联考理科数学试卷(解析版) 题型:选择题

(2010•安徽)设数列{an}的前n项和Sn=n2,则a8的值为( )

A.15 B.16 C.49 D.64

查看答案和解析>>

科目:高中数学 来源:2016届陕西省商洛市高三上第二次模拟文科数学试卷(解析版) 题型:填空题

(2014•中山市校级三模)函数f(x)=(x﹣3)ex的单调递增区间是

查看答案和解析>>

科目:高中数学 来源:2016届江苏省南通市高三上第三次调研文科数学试卷(解析版) 题型:填空题

(2015秋•盐城校级月考)已知全集U={x|﹣1≤x≤8},A={x|2x﹣1<3,x∈U},则∁UA=

查看答案和解析>>

同步练习册答案