精英家教网 > 高中数学 > 题目详情

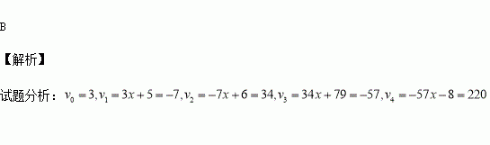
用秦九韶算法求多项式

的值为( )

A.-57 B.220 C.-845 D.3392

练习册系列答案
相关习题

科目:高中数学 来源:2015-2016学年甘肃省嘉峪关市高二上学期期中考试理科数学试卷(解析版) 题型:选择题

函数f(x)=的定义域是R,则实数a的取值范围是( )

A. B. C. D.[

查看答案和解析>>

科目:高中数学 来源:2015-2016学年四川绵阳南山中学高二上期中理科数学试卷(解析版) 题型:填空题

已知等差数列的公差为其前的和.若,则数列的前取得最小值时,的值为 .

查看答案和解析>>

科目:高中数学 来源:2015-2016学年福建省师大附高二上期中理科数学试卷(解析版) 题型:选择题

中,内角所对的边分别为,已知,则角的大小为( )

A. B. C. D.

查看答案和解析>>

科目:高中数学 来源:2015-2016学年陕西省高二上学期期中考试数学试卷(解析版) 题型:选择题

某种细菌在培养过程中,每20分钟分裂一次(一个分裂二个)经过1小时,这种细菌由1个可以繁殖成( )

A.4个 B.7个 C.8个 D.16个

查看答案和解析>>

科目:高中数学 来源:2015-2016学年江苏省泰兴市高二上学期期中考试数学试卷(解析版) 题型:填空题

已知双曲线的一条渐近线方程为,那么该双曲线的离心率为

查看答案和解析>>

科目:高中数学 来源:2015-2016学年湖北省高二上学期期中理科数学试卷(解析版) 题型:解答题

(本小题满分12分)如图,已知四棱锥的底面是菱形,对角线交于点底面,点满足

(1)当时,证明:

(2)若二面角的大小为,问:符合条件的点是否存在.若存在,求出的值.若不存在,说明理由.

查看答案和解析>>

科目:高中数学 来源:2015-2016学年广东省英德市高二上学期第一次月考理科数学试卷(解析版) 题型:解答题

(本题满分12分)

(1)当时,求的解集

(2)解不等式:

查看答案和解析>>

科目:高中数学 来源:2015-2016学年四川省高一上学期第一学月考数学试卷(解析版) 题型:选择题

如果A={x|x>-1},下列说法正确的是( )

A.0⊆A B.{0}∈A C.{0}⊆A D.∅∈A

查看答案和解析>>

同步练习册答案