精英家教网 > 高中数学 > 题目详情
某国采用养老储备金制度,公民在就业的第一年就交纳养老储备金,数目为a1,以后第年交纳的数目均比上一年增加d(d>0),因此,历年所交纳的储备金数目a1,a2,…是一个公差为d的等差数列,与此同时,国家给予优惠的计息政策,不仅采用固定利率,而且计算复利,这就是说,如果固定年利率为r(r>0),那么,在第n年末,第一年所交纳的储备金就变为a1(1+r)n-1,第二年所交纳的储备金就变为a2(1+r)n-2,……,以Tn表示到第n年末所累计的储备金总额。
(1)写出Tn与Tn-1(n≥2)的递推关系式;
(Ⅱ)求证:Tn=An+Bn,其中{An}是一个等比数列,{Bn}是一个等差数列。
解:(1)我们有
(2),对反复使用上述关系式,得

 ①
在①式两端同乘,得

②-①,得



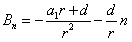
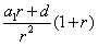
如果记

其中是以为首项,以为公比的等比数列;
是以为首项,为公差的等差数列。
练习册系列答案
相关习题

科目:高中数学 来源: 题型:

某国采用养老储备金制度,公民在就业的第一年就交纳养老储备金,数目为a1,以后每年交纳的数目均比上一年增加d(d>0),因此,历年所交纳的储备金数目a1,a2,…是一个公差为d的等差数列.与此同时,国家给予优惠的计息政府,不仅采用固定利率,而且计算复利.这就是说,如果固定年利率为r(r>0),那么,在第n年末,第一年所交纳的储备金就变为a1(1+r)n-1,第二年所交纳的储备金就变成a2(1+r)n-2,….以Tn表示到第n年末所累计的储备金总额.
(Ⅰ)写出Tn与Tn-1(n≥2)的递推关系式;
(Ⅱ)求证Tn=An+Bn,其中{An}是一个等比数列,{Bn}是一个等差数列.

查看答案和解析>>

科目:高中数学 来源: 题型:

某国采用养老储备金制度.公民在就业的第一年就交纳养老储备金,数目为a,以后每年交纳的数目均比上一年增加d(d>0),因此,历年所交纳的储备金数目a1,a2,…是一个公差为d的等差数列.与此同时,国家给予优惠的计息政策,不仅采用固定利率,而且计算复利.这就是说,如果固定年利率为r(r>0),那么,在第n年末,第l年所交纳的储备金就变为a1(1+r)n-1,第2年所交纳的储备金就变为a2(1+r)n-2…以Tn表示到第n年末所累计的储备金总额.
(1)写出Tn与Tn-1(n≥2)的递推关系式;
(2)求证:Tn=An+Bn,其中{An}是一个等比数列,{Bn}是一个等差数列.

查看答案和解析>>

科目:高中数学 来源: 题型:

(本题16分)某国采用养老储备金制度,公民在就业的第一年就交纳养老储备金,数目为a1,以后每年交纳的数目均比上一年增加 dd>0), 因此,历年所交纳的储备金数目a1, a2, … 是一个公差为 的等差数列.  与此同时,国家给予优惠的计息政府,不仅采用固定利率,而且计算复利. 这就是说,如果固定年利率为rr>0),那么, 在第n年末,第一年所交纳的储备金就变为 a1(1+rn-1,第二年所交纳的储备金就变成 a2(1+rn-2,……. 以Tn表示到第n年末所累计的储备金总额.(Ⅰ)写出TnTn-1n≥2)的递推关系式;(Ⅱ)求证Tn=An+ Bn,其中{An}是一个等比数列,{Bn}是一个等差数列.

查看答案和解析>>

科目:高中数学 来源: 题型:

某国采用养老储备金制度.公民在就业的第一年就交纳养老储备金,数目为a1,以后每年交纳的数目均比上一年增加dd>0),因此,历年所交纳的储务金数目a1a2,…是一个公差为d的等差数列,与此同时,国家给予优惠的计息政策,不仅采用固定利率,而且计算复利.这就是说,如果固定年利率为rr>0),那么,在第n年末,第一年所交纳的储备金就变为a1(1+ra-1,第二年所交纳的储备金就变为a2(1+ra-2,……,以Tn表示到第n年末所累计的储备金总额.

(Ⅰ)写出n≥2)的递推关系式;

(Ⅱ)求证:TnAnBn,其中{An}是一个等比数列,{Bn}是一个等差数列.

查看答案和解析>>

科目:高中数学 来源:2007年普通高等学校招生全国统一考试理科数学卷(安徽) 题型:解答题

(本小题满分14分)某国采用养老储备金制度.公民在就业的第一年就交纳养老储备金,数目为a1,以后每年交纳的数目均比上一年增加dd>0),因此,历年所交纳的储务金数目a1a2,…是一个公差为d的等差数列,与此同时,国家给予优惠的计息政策,不仅采用固定利率,而且计算复利.这就是说,如果固定年利率为rr>0),那么,在第n年末,第一年所交纳的储备金就变为a1(1+ra-1,第二年所交纳的储备金就变为a2(1+ra-2,……,以Tn表示到第n年末所累计的储备金总额.
(Ⅰ)写出TnTn-1(n≥2)的递推关系式;
(Ⅱ)求证:TnAnBn,其中{An}是一个等比数列,{Bn}是一个等差数列.

查看答案和解析>>

同步练习册答案