精英家教网 > 高中数学 > 题目详情
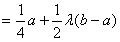
如图,△ABC中,=,DE∥BC,DE与边AC相交于点E,△ABC的中线AM与DE相交于点N,设=a=b,试用ab表示

解:∵M是BC的中点



∴存在实数λ,μ,使
=


由基本定理得

练习册系列答案
相关习题

科目:高中数学 来源: 题型:

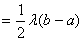
精英家教网如图,△ABC中,BC=2
3
AB
AC
=4,
AC
CB
=2
,双曲线M是以B、C为焦点且过A点.
(Ⅰ)建立适当的坐标系,求双曲线M的方程;
(Ⅱ)设过点E(1,0)的直线l分别与双曲线M的左、右支交于
F、G两点,直线l的斜率为k,求k的取值范围.;
(Ⅲ)对于(Ⅱ)中的直线l,是否存在k≠0使|OF|=|OG|若有求出k的值,若没有说明理由.(O为原点)

查看答案和解析>>

科目:高中数学 来源: 题型:

如图,△ABC中,
AN
=
1
3
NC
,若
BP
=n
BN
AP
=m
AB
+
2
11
AC
,求实数m、n的值.

查看答案和解析>>

科目:高中数学 来源: 题型:

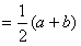
精英家教网如图,△ABC中,AB=AC,AD是中线,P为AD上一点,CF∥AB,BP延长线交AC、CF于E、F,
求证:PB2=PE•PF.

查看答案和解析>>

科目:高中数学 来源: 题型:

已知:如图,△ABC中,∠B=60°,AD,CE是角平分线.
求证:AE+CD=AC.

查看答案和解析>>

科目:高中数学 来源: 题型:

如图,△ABC中,点D在BC边上,且AC=2,BC=2.5,AD=1,BD=0.5,则AB的长为
 
精英家教网

查看答案和解析>>

同步练习册答案