精英家教网 > 高中数学 > 题目详情
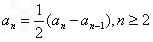
已知数列满足
(1)求
(2)猜想的通项公式,并进行证明.
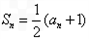
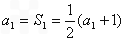
解:(1)∵
,则,解得                  
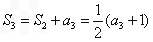
,则,解得            
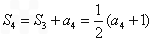
,则,解得              
,则,解得              
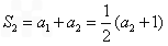
(2)由(1)猜想:
下证明之.           
,①
,②                                
①-②得

  
是以1为首项,为公比的等比数列,
.
练习册系列答案
相关习题

科目:高中数学 来源: 题型:

(08年福建师大附中模拟)(12分)

已知数列满足

   (1)求的值; 

   (2)若数列为等差数列,请求出实数

   (3)求数列的通项及前项和.

查看答案和解析>>

科目:高中数学 来源:2014届陕西省高二上学期期末考试理科数学试卷(解析版) 题型:解答题

已知数列满足:

(1)求证:数列为等比数列;

(2)求证:数列为递增数列;

(3)若当且仅当的取值范围。

 

查看答案和解析>>

科目:高中数学 来源:2010-2011学年江苏省南通市高三第二次模拟考试数学试题 题型:解答题

已知数列满足

(1)求数列的通项公式;

(2)对任意给定的,是否存在)使成等差数列?若存

在,用分别表示(只要写出一组);若不存在,请说明理由;

(3)证明:存在无穷多个三边成等比数列且互不相似的三角形,其边长为

 

查看答案和解析>>

科目:高中数学 来源:2010年湖北省高二12月月考数学试卷 题型:解答题

已知数列满足a1=1,an+1>an,且(an+1-an)2-2(an+1+an)+1=0

(1)求a2、a3

(2)猜想的表达式,并用数学归纳法证明你的结论

 

查看答案和解析>>

科目:高中数学 来源:2010年江苏省高二下学期期中考试数学(理) 题型:解答题

(14分)已知数列满足

    (1)求。(2)由(1)猜想的通项公式。(3)用数学归纳法证明(2)的结果。[来源:学#科#网]

 

查看答案和解析>>

同步练习册答案