精英家教网 > 高中数学 > 题目详情
设锐角三角形ABC的内角A,B,C的对边分别为a,b,c,a=2bsinA,
(Ⅰ)求B的大小;
(Ⅱ)求cosA+sinC的取值范围。
解:(Ⅰ)由a=2bsinA,根据正弦定理得,所以
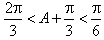
由△ABC为锐角三角形得
(Ⅱ)

由△ABC为锐角三角形知,

所以
由此有
所以,cosA+sinC的取值范围为
练习册系列答案
相关习题

科目:高中数学 来源: 题型:

设锐角三角形ABC的内角A,B,C的对边分别为a,b,c,a=2bsinA
(Ⅰ)求B的大小;
(Ⅱ)求cosA+sinC的取值范围.

查看答案和解析>>

科目:高中数学 来源: 题型:

设锐角三角形ABC的内角A,B,C的对边分别为a,b,c,a=2bsinA
(Ⅰ)求B的大小;
(Ⅱ)若a=3
3
,c=5,求b.

查看答案和解析>>

科目:高中数学 来源: 题型:

设锐角三角形ABC的内角A,B,C的对边分别为a,b,c,已知a=
3
b
sinB
=2

(1)求A的大小;
(2)求
a2+b2-c2
ab
+2cosB
的取值范围.

查看答案和解析>>

科目:高中数学 来源: 题型:

设锐角三角形ABC的角A,B,C所对的边分别为a,b,c,已知a2+b2-c2=ab.
(1)求∠C的度数;  (2)求∠A的取值范围; (3)求sinA+sinB的范围.

查看答案和解析>>

科目:高中数学 来源: 题型:

(2008•湖北模拟)设锐角三角形ABC的内角A,B,C的对边分别为a,b,c,若
m
=(b,  2csinB),  
n
=(cosB
,sinC),且
m
n

(Ⅰ)求B的大小;
(Ⅱ)求sinA+sinC的取值范围.

查看答案和解析>>

同步练习册答案