精英家教网 > 高中数学 > 题目详情

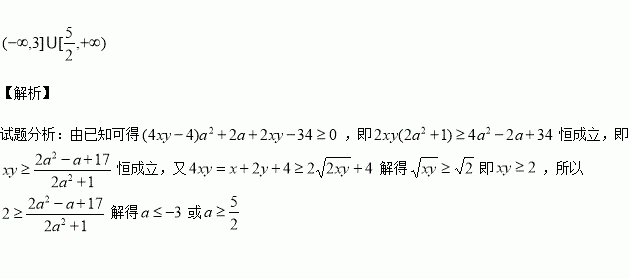
若正实数满足,且不等式恒成立,则实数的取值范围是

练习册系列答案
相关习题

科目:高中数学 来源:2016届安徽省等高三第三次联考文科数学卷(解析版) 题型:解答题

已知数列满足

(1)求证:为等比数列,并求出的通项公式;

(2)若,求的前n项和

查看答案和解析>>

科目:高中数学 来源:2015-2016学年浙江慈溪中学高二2-10班上期中数学卷(解析版) 题型:选择题

是三个互不重合的平面,是直线,给出下列命题:①,则;②若,则;③若内的射影互相垂直,则;④若,则,其中正确命题的个数为( )

A.0 B.1 C.2 D.3

查看答案和解析>>

科目:高中数学 来源:2015-2016学年上海师大附中高一上期中数学试卷(解析版) 题型:填空题

集合的真子集的个数是

查看答案和解析>>

科目:高中数学 来源:2015-2016学年黑龙江齐齐哈尔实验中学高一上期中数学卷(解析版) 题型:填空题

均为正数,且由大到小的顺序为

查看答案和解析>>

科目:高中数学 来源:2015-2016学年辽宁沈阳二中高二12月月考文科数学卷(解析版) 题型:解答题

设各项均为正数的数列的前项和为,满足构成等比数列.

(1)证明:

(2)求数列的通项公式.

查看答案和解析>>

科目:高中数学 来源:2015-2016学年江苏省高一上期中数学试卷(解析版) 题型:填空题

若方程内有一解,则

查看答案和解析>>

科目:高中数学 来源:2015-2016学年河南省高二12月月考文科数学卷(解析版) 题型:选择题

已知点是以为焦点的双曲线上一点,,则双曲线的离心率为( )

A. B.2 C. D.

查看答案和解析>>

科目:高中数学 来源:2015-2016学年山西省高二11月月考理科数学卷(解析版) 题型:填空题

如图,在长方形中,的四等分点(靠近处),为线段上一动点(包括端点),现将沿折起,使点在平面内的射影恰好落在边上,则当运动时,二面角的平面角余弦值的变化范围为_____.

查看答案和解析>>

同步练习册答案