精英家教网 > 高中数学 > 题目详情

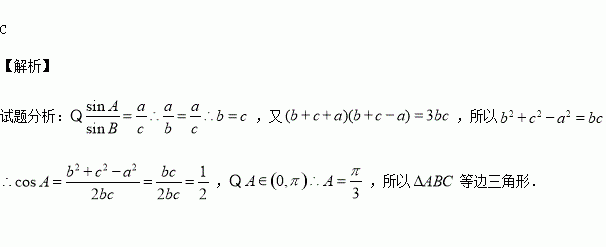
中,角A,B,C的对边分别为a,b,c,若,则的形状为( )

A.直角三角形 B.等腰非等比三角形

C.等边三角形 D.钝角三角形

练习册系列答案
相关习题

科目:高中数学 来源:2016届江苏省高三上学期周练数学试卷(解析版) 题型:填空题

将函数的图象向左平移)个单位,可得到函数的图象,则的最小值为

查看答案和解析>>

科目:高中数学 来源:2015-2016学年湖南师大附中高二上学期期中文科数学试卷(解析版) 题型:填空题

将函数的图像向右平移 个单位( )得到函数的图像,则=____________________.

查看答案和解析>>

科目:高中数学 来源:2014-2015学年贵州省高二上学期半期考试文科数学试卷(解析版) 题型:填空题

已知中心在原点,一焦点为的椭圆被直线截得的弦的中点横坐标为,求此椭圆的方程.

查看答案和解析>>

科目:高中数学 来源:2014-2015学年广东省心学校高一上学期期末数学试卷(解析版) 题型:选择题

要得到的图象只需将y=3sin2x的图象 ( )

A.向左平移个单位 B.向左平移个单位 C.向右平移个单位 D.向右平移个单位

查看答案和解析>>

科目:高中数学 来源:2016届四川省成都市高三11月阶段测试理科数学试卷(解析版) 题型:填空题

函数的定义域为

查看答案和解析>>

科目:高中数学 来源:2016届湖南师范大学附中高三上学期月考三文科数学试卷(解析版) 题型:选择题

中,角所对的边分别为,若,则为( )

A.钝角三角形 B.直角三角形 C.锐角三角形 D.等边三角形

查看答案和解析>>

科目:高中数学 来源:2016届甘肃省高三12月月考理科数学试卷(解析版) 题型:选择题

已知函数,n∈N*的图象与直线交于点P,若图象在点P处的切线与x轴交点的横坐标,则+…+的值为( )

A.1 B.1-log20132012 C.-log20132012 D.-1

查看答案和解析>>

科目:高中数学 来源:2016届山东省高三11月月考数学试卷(解析版) 题型:解答题

设关于的函数,其中为实数集R上的常数,函数处取得极值0.

(1)已知函数的图象与直线有两个不同的公共点,求实数k的取值范围;

(2)设函数, 其中,若对任意的,总有成立,求的取值范围.

查看答案和解析>>

同步练习册答案