精英家教网 > 高中数学 > 题目详情

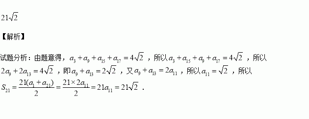
设等差数列的前项和为,若,则

练习册系列答案
相关习题

科目:高中数学 来源:2015-2016学年安徽六安一中高一下周末统测十一数学试卷(解析版) 题型:解答题

已知函数的最小正周期为.

(1)求的值;

(2)讨论在区间上的单调性.

查看答案和解析>>

科目:高中数学 来源:2015-2016学年北大附中河南分校高二普通上期末文数学卷(解析版) 题型:解答题

设函数,曲线在点处的切线方程为

(1)求的值;

(2)若,求函数的单调区间;

(3)设函数,且在区间内存在单调递减区间,求实数的取值范围.

查看答案和解析>>

科目:高中数学 来源:2015-2016学年北大附中河南分校高二普通上期末文数学卷(解析版) 题型:选择题

,则“”是“”的( )

A.充分而不必要条件 B.必要而不充分条件

C.充分必要条件 D.既不充分也不必要条件

查看答案和解析>>

科目:高中数学 来源:2015-2016学年重庆十一中高一下期中理科数学试卷(解析版) 题型:解答题

(1)已知,且的夹角为60°,求的值;

(2)在矩形中,,点的中点,点边上,若,求的值.

查看答案和解析>>

科目:高中数学 来源:2015-2016学年重庆十一中高一下期中理科数学试卷(解析版) 题型:选择题

已知内角的对边分别是,若,b=3,,则的面积为( )

A. B. C. D.

查看答案和解析>>

科目:高中数学 来源:2015-2016学年重庆十一中高一下期中理科数学试卷(解析版) 题型:选择题

平行四边形ABCD中,E是CD的中点,且,则=( )

A. B.

C. D.

查看答案和解析>>

科目:高中数学 来源:2015-2016学年河南新乡一中高二重点下七次周练文数学卷(解析版) 题型:选择题

若复数z满足(1﹣i)z=|3﹣4i|,则z的实部为( )

A.﹣ B.﹣ C. D.

查看答案和解析>>

科目:高中数学 来源:2015-2016学年河南新乡一中高二普通下七次周练理数学卷(解析版) 题型:填空题

箱中装有标号为1,2,3,4,5,6且大小相同的6个球,从箱中一次摸出两个球,记下号码并放回,如果两球号码之积是4的倍数,则获奖.现有4人参与摸奖,恰好有3人获奖的概率是_________.

查看答案和解析>>

同步练习册答案