精英家教网 > 高中数学 > 题目详情

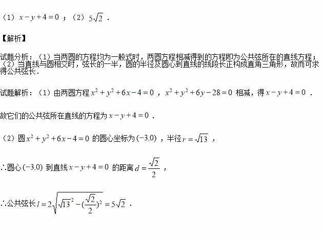
已知两圆x2+y2+6x-4=0,x2+y2+6y-28=0.求:

(1)它们的公共弦所在直线的方程;

(2)公共弦长.

练习册系列答案
相关习题

科目:高中数学 来源:2015-2016学年陕西西藏民族学院附中高一4月月考数学卷(解析版) 题型:选择题

的值为( )

A. B. C. D.

查看答案和解析>>

科目:高中数学 来源:2015-2016学年江西玉山一中高一下第一次月考理科数学卷(解析版) 题型:选择题

若圆心在轴上、半径为的圆O位于轴左侧,且与直线相切,则圆O的方程是( )

A. B.

C. D.

查看答案和解析>>

科目:高中数学 来源:2015-2016学年山东省高一3月月考数学试卷(解析版) 题型:选择题

与圆的公切线有且仅有( )

A.1条 B.2条 C.3条 D.4条

查看答案和解析>>

科目:高中数学 来源:2015-2016学年山东省高一3月月考数学试卷(解析版) 题型:选择题

执行下面的程序框图,如果输入的是6,那么输出的是( )

A.120 B.720 C.1440 D.5040

查看答案和解析>>

科目:高中数学 来源:2015-2016学年江西玉山一中高一下第一次月考文科数学卷(解析版) 题型:填空题

若直线l1:a+(1-a)=3与l2:(a-1)+(2a+3)=2互相垂直,则实数=_____

查看答案和解析>>

科目:高中数学 来源:2015-2016学年江西玉山一中高一下第一次月考文科数学卷(解析版) 题型:选择题

已知是第四象限角,,则=( )

A. B. C. D.

查看答案和解析>>

科目:高中数学 来源:2015-2016学年云南省高一上学期期末数学试卷(解析版) 题型:填空题

若角的终边经过点,则

查看答案和解析>>

科目:高中数学 来源:2016届湖北省等校高三9月联考文科数学试卷(解析版) 题型:填空题

已知函数(其中),

(Ⅰ)若命题是假命题,求的取值范围;

(Ⅱ)若命题为真命题,求的取值范围.

查看答案和解析>>

同步练习册答案