精英家教网 > 高中数学 > 题目详情
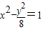
过双曲线的右焦点作直线与双曲线交A、B于两点,若|AB|=16,这样的直线有( )
A.一条
B.两条
C.三条
D.四条
【答案】分析:求出过右焦点的通径长,可判断A、B都在右支时直线条数;根据实轴长与16的大小关系可判断A、B位于两支时直线的条数.
解答:解:由双曲线的方程知a=1,b=2
过右焦点的通径长度为=16,
因为过焦点且交双曲线一支的弦中通径最短,
所以当A、B都在右支且满足AB|=16的弦只有一条;
又实轴长为2,小于16,
所以过右焦点、A、B位于两支且满足|AB|=16的弦必有两条,
综上,满足条件的直线有三条,
故选C.
点评:本题考查直线与双曲线之间的位置关系问题,解决本题的关键是弄清过焦点且交双曲线一支的弦中,通径最短.
练习册系列答案
相关习题

科目:高中数学 来源: 题型:

已知双曲线方程为
x2
16
-
y2
9
=1
,过双曲线的右焦点作直线与双曲线相交,所得弦长为8的直线有(  )条.

查看答案和解析>>

科目:高中数学 来源:不详 题型:单选题

已知双曲线方程为
x2
16
-
y2
9
=1
,过双曲线的右焦点作直线与双曲线相交,所得弦长为8的直线有(  )条.
A.2B.3C.4D.1

查看答案和解析>>

科目:高中数学 来源:2012-2013学年湖北省黄冈中学高二(上)期末数学试卷(文科)(解析版) 题型:选择题

过双曲线的右焦点作直线与双曲线交A、B于两点,若|AB|=16,这样的直线有( )
A.一条
B.两条
C.三条
D.四条

查看答案和解析>>

科目:高中数学 来源:2012-2013学年湖北省仙桃中学、麻城、新洲一中、武汉二中高二(上)期末数学试卷(文科)(解析版) 题型:选择题

已知双曲线方程为,过双曲线的右焦点作直线与双曲线相交,所得弦长为8的直线有( )条.
A.2
B.3
C.4
D.1

查看答案和解析>>

同步练习册答案