精英家教网 > 高中数学 > 题目详情

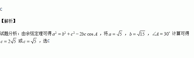
中,,则等于( )

A. B. C. D.以上都不对

练习册系列答案
相关习题

科目:高中数学 来源:2016-2017学年云南曲靖一中高一上期中数学试卷(解析版) 题型:选择题

已知,则的大小关系为( )

A. B. C. D.

查看答案和解析>>

科目:高中数学 来源:2016-2017学年山东潍坊寿光市高二文上期中数学试卷(解析版) 题型:选择题

在数列中,,则( )

A. B. C. D.

查看答案和解析>>

科目:高中数学 来源:2016-2017学年山东潍坊寿光市高二理上期中数学试卷(解析版) 题型:填空题

方程的一个根在区间上,另一根在区间上,则的取值范围是 .

查看答案和解析>>

科目:高中数学 来源:2016-2017学年山东潍坊寿光市高二理上期中数学试卷(解析版) 题型:选择题

某人要利用无人机测量河流的宽度,如图,从无人机处测得正前方河流的两岸的俯角分别为,此时无人机的高是60米,则河流的宽度等于( )

A.米 B.米 C.米 D.

查看答案和解析>>

科目:高中数学 来源:2016-2017学年山东潍坊市数学试卷(解析版) 题型:解答题

我国的烟火名目繁多,花色品种繁杂.其中“菊花”烟花是最壮观的烟花之一,制造时一般是期望在它达到最高点时爆裂,通过研究,发现该型烟花爆裂时距地面的高度(单位:米)与时间(单位:秒)存在函数关系,并得到相关数据如下表:

(1)根据上表数据,从下列函数中,选取一个函数描述该型烟花爆裂时距地面的高度与时间的变化关系:,确定此函数解析式,并简单说明理由;

(2)利用你选取的函数,判断烟花爆裂的最佳时刻,并求出此时烟花距地面的高度.

查看答案和解析>>

科目:高中数学 来源:2016-2017学年山东潍坊市数学试卷(解析版) 题型:填空题

已知集合,则从集合到集合的映射共有 种.

查看答案和解析>>

科目:高中数学 来源:2017届四川自贡市高三一诊考试数学(文)试卷(解析版) 题型:解答题

如图,三棱柱中,侧面.

(Ⅰ)求证:

(Ⅱ)求三棱锥的体积..

查看答案和解析>>

科目:高中数学 来源:2017届山西运城市高三上学期期中数学(理)试卷(解析版) 题型:选择题

已知集合,则( )

A. B. C. D.

查看答案和解析>>

同步练习册答案