精英家教网 > 高中数学 > 题目详情

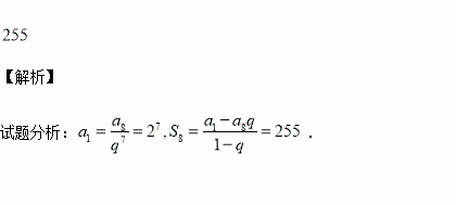
已知等比数列的前项和为,公比,则

练习册系列答案
相关习题

科目:高中数学 来源:2017届河北沧州一中高三10月月考数学(文)试卷(解析版) 题型:解答题

中,分别为内角的对边,且

(1)求

(2)若,求的值.

查看答案和解析>>

科目:高中数学 来源:2017届广西河池课改联盟高三上联考二试数学(文)试卷(解析版) 题型:解答题

选修4-1:几何证明选讲

如下图,于点,以为直径的圆交于点

(1)求证:

(2)若,点在线段上移动,与圆相交于点,求的最大值.

查看答案和解析>>

科目:高中数学 来源:2017届广西河池课改联盟高三上联考二试数学(文)试卷(解析版) 题型:选择题

已知,则( )

A.

B.

C.

D.

查看答案和解析>>

科目:高中数学 来源:2016-2017学年山东寿光现代中学高二10月月考数学试卷(解析版) 题型:解答题

已知数列的前项和为

(1)这个数列是等差数列吗?求出它的通项公式;

(2)求使得最小的序号的值.

查看答案和解析>>

科目:高中数学 来源:2016-2017学年山东寿光现代中学高二10月月考数学试卷(解析版) 题型:选择题

下列函数中,最小值为4的是( )

A.

B.

C.

D.

查看答案和解析>>

科目:高中数学 来源:2016-2017学年山东寿光现代中学高二10月月考数学试卷(解析版) 题型:选择题

已知等差数列的前项和为,若,则等于( )

A.18 B.36

C.54 D.72

查看答案和解析>>

科目:高中数学 来源:2016-2017学年吉林省高一上学期期中数学试卷(解析版) 题型:选择题

,则大小关系为( )

A. B.

C. D.

查看答案和解析>>

科目:高中数学 来源:2016-2017学年河北武邑中学高一周考10.23数学试卷(解析版) 题型:选择题

幂函数的图象过点,那么函数的单调递增区间是( )

A. B.

C. D.

查看答案和解析>>

同步练习册答案