精英家教网 > 高中数学 > 题目详情

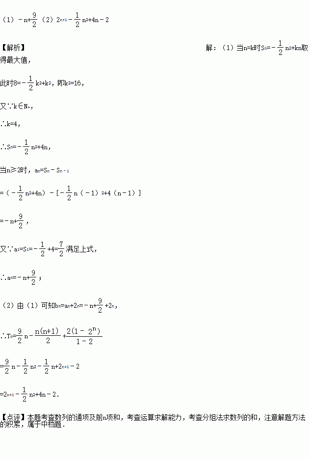
已知数列{an}的前n项和Sn=﹣n2+kn(其中k∈N+),且Sn的最大值为8.

(1)确定常数k,求an;

(2)求数列bn=an+2n的前n项和Tn.

练习册系列答案
相关习题

科目:高中数学 来源:2015-2016学年黑龙江双鸭山一中高一下期期末文数学试卷(解析版) 题型:选择题

若关于的二次不等式的解集为实数集,则实数的取值范围是( )

A. B.

C. D.

查看答案和解析>>

科目:高中数学 来源:2017届江苏泰州中学高三摸底考试数学试卷(解析版) 题型:填空题

对于函数,若存在区间,当时的值域为),则称倍值函数.若倍值函数,则实数的取值范围是

查看答案和解析>>

科目:高中数学 来源:2015-2016学年湖南省高二下学业水平模拟数学试卷(1)(解析版) 题型:填空题

已知函数f(x)=,则f[f(﹣2)]=

查看答案和解析>>

科目:高中数学 来源:2015-2016学年湖南省高二下学业水平模拟数学试卷(1)(解析版) 题型:选择题

在等比数列{an},a3=2,a7=32,则q=( )

A.2 B.﹣2 C.±2 D.4

查看答案和解析>>

科目:高中数学 来源:2015-2016学年安徽省高二下学业水平模拟数学试卷(解析版) 题型:填空题

不等式x2﹣2x<0的解集为

查看答案和解析>>

科目:高中数学 来源:2015-2016学年安徽省高二下学业水平模拟数学试卷(解析版) 题型:选择题

函数f(x)=lgx﹣x零点的个数为( )

A.无穷多 B.3 C.1 D.0

查看答案和解析>>

科目:高中数学 来源:2017届山西长治二中等五校高三上学期联考一数学(文)试卷(解析版) 题型:解答题

椭圆的离心率为,且过点

(1)求椭圆的方程;

(2)若分别是椭圆的左、右顶点,动点满足,且交椭圆于不同于的点,求证:为定值.

查看答案和解析>>

科目:高中数学 来源:2017届山西长治二中等五校高三上学期联考一数学(理)试卷(解析版) 题型:选择题

下列命题正确的个数为( )

?“都有”的否定是“使得

?“”是“”成立的充分条件

?命题“若,则方程有实数根”的否命题

A.0 B.1 C.2 D.3

查看答案和解析>>

同步练习册答案