精英家教网 > 高中数学 > 题目详情
在锐角△ABC中,已知内角A,B,C所对的边分别为a,b,c,向量m=(2sin(A+C),),n=(cos2B,-1),且向量mn共线,
(Ⅰ)求角B的大小;
(Ⅱ)如果b=1,求△ABC的面积S△ABC的最大值.
解:(Ⅰ)∵

又∵
,即

又锐角△ABC中,,∴
,即
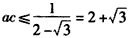
(Ⅱ)由(Ⅰ)知,,且b=1,
由余弦定理,得

,即


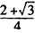
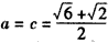
当且仅当时,
∴△ABC的面积为
练习册系列答案
相关习题

科目:高中数学 来源: 题型:

在锐角△ABC中,已知BC=1,B=2A
(1)求
ACcosA
的值;
(2)求AC的取值范围.

查看答案和解析>>

科目:高中数学 来源: 题型:

在锐角△ABC中,已知内角A、B、C所对的边分别为a、b、c,且满足2sinBcosB=-
3
cos2B

(1)求B的大小;
(2)如果b=
7
a=2,求△ABC的面积S△ABC

查看答案和解析>>

科目:高中数学 来源: 题型:

在锐角△ABC中,已知a、b、c分别是三内角A、B、C所对应的边长,且b=2asinB.
(1)求角A的大小;       
(2)若b=1,且△ABC的面积为
3
3
4
,求a的值.

查看答案和解析>>

科目:高中数学 来源: 题型:

在锐角△ABC中,已知内角A、B、C所对的边分别为a、b、c,且满足2sinB(2cos2
B
2
-1)=-
3
cos2B.
(1)求B的大小;
(2)如果b=2,求△ABC的面积S△ABC的最大值.

查看答案和解析>>

科目:高中数学 来源: 题型:

在锐角△ABC中,已知cosA=
1
2
,BC=
3
,记△ABC的周长为f(B).
(1)求函数y=f(B)的解析式和定义域,并化简其解析式;
(2)若f(B)=
3
+
6
,求f(B-
π
2
)
的值.

查看答案和解析>>

同步练习册答案