精英家教网 > 高中数学 > 题目详情

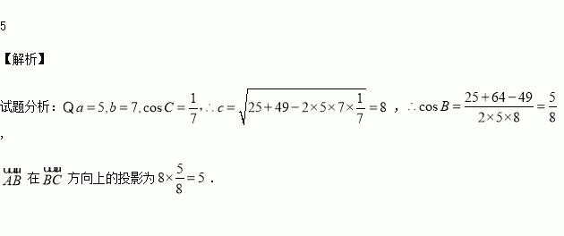
中角所对的边分别为,已知方向上的投影为__________

练习册系列答案
相关习题

科目:高中数学 来源:2015-2016学年重庆八中高一下期中数学试卷(解析版) 题型:解答题

中,角的对边分别为,且满足

(Ⅰ)求角的大小;

(Ⅱ)若点中点,且,求

查看答案和解析>>

科目:高中数学 来源:2016届山东省高三最后一模文科数学试卷(解析版) 题型:选择题

已知集合,则等于( )

A. B. C. D.

查看答案和解析>>

科目:高中数学 来源:2016届山东省高三最后一模理科数学试卷(解析版) 题型:选择题

命题,命题,则什么条件( )

A.充分非必要条件 B.必要非充分条件

C.必要充分条件 D.非充分非必要条件

查看答案和解析>>

科目:高中数学 来源:2015-2016学年江西玉山一中高一下第三次考试文科数学卷(解析版) 题型:解答题

如图,在△ABC中,BC边上的中线AD长为3,且∠ADC=-.

(1)求∠BAD的值;

(2)求AC边的长.

查看答案和解析>>

科目:高中数学 来源:2015-2016学年江西玉山一中高一下第三次考试文科数学卷(解析版) 题型:选择题

已知函数,数列是公差为的等差数列,若,则的通项公式为( )

A. B. C. D.

查看答案和解析>>

科目:高中数学 来源:2015-2016学年江西玉山一中高一下第三次考试文科数学卷(解析版) 题型:选择题

中,()

A. B. C. D.

查看答案和解析>>

科目:高中数学 来源:2015-2016学年江西玉山一中高一下第三次考试理科数学卷(解析版) 题型:选择题

在数列中,,则( )

A. B. C. D.

查看答案和解析>>

科目:高中数学 来源:2016届湖南长沙长郡中学高考原创十一文科数学试卷(解析版) 题型:填空题

函数的极值点为,则

查看答案和解析>>

同步练习册答案