精英家教网 > 高中数学 > 题目详情
下列各式中,最小值为2的是( )
A.
B.sinx+
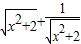
C.
D.5x+5-x
【答案】分析:对于A,取 x,y的符号相反时其值为负; B不正确,当sinx<0时,它的最小值显然不是2;对于C,不正确,由于 ≥2,但等号不可能成立;D正确,因为 5x+5-x=5x+≥2,当且仅当 x=0时,等号成立.
解答:解:A不正确,例如 x,y的符号相反时,式子的最小值不可能等于2.
B不正确,当sinx<0时,它的最小值显然不是2.
C不正确,∵≥2,但等号不可能成立,故最小值不是2.
D正确,∵5x+5-x=5x+≥2,当且仅当 x=0时,等号成立,
故选D.
点评:本题考查基本不等式的应用,通过给变量取特殊值,举反例来说明某个命题不正确,是一种简单有效的方法.
练习册系列答案
相关习题

科目:高中数学 来源: 题型:

下列各式中,最小值是2的为(  )

查看答案和解析>>

科目:高中数学 来源: 题型:

下列各式中,最小值为2的是(  )

查看答案和解析>>

科目:高中数学 来源:学习周报 数学 人教课标高二版(A必修5) 2009-2010学年 第11期 总第167期 人教课标版(A必修5) 题型:013

下列各式中,最小值为2的是

[  ]
A.

B.

C.

tan

D.

2x+2-x

查看答案和解析>>

科目:高中数学 来源:不详 题型:单选题

下列各式中,最小值为2的是(  )
A.
x
y
+
y
x
B.sinx+
1
sinx
C.
x2+2
+
1
x2+2
D.5x+5-x

查看答案和解析>>

同步练习册答案