精英家教网 > 高中数学 > 题目详情
已知椭圆C的中心在原点,对称轴为坐标轴,且过(0,1),(1,).
(1)求椭圆C的方程;
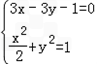
(2)直线l:3x﹣3y﹣1=0交椭圆C与A、B两点,若T(0,1)求证:
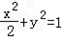
(1)解:设椭圆C的方程为mx2+ny2=1(m>0.n>0)
由椭圆C过点过(0,1),(1,
得:,解得
∴椭圆C的方程为
(2)证明:设A(x1,y1),B(x2,y2),
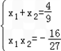
消去y整理得27x2﹣12x﹣16=0,
由韦达定理得
两边平方整理可得
故只需证明=x1x2+(y1﹣1)(y2﹣1)=x1x2+y1y2+(y1+y2)+1

=
恒成立
练习册系列答案
相关习题

科目:高中数学 来源:山东省济宁市2012届高二下学期期末考试理科数学 题型:解答题

(本小题满分14分) 已知在平面直角坐标系xoy中的一个椭圆,它的中心在原

点,左焦

(1)求该椭圆的标准方程;

(2)若P是椭圆上的动点,求线段PA中点M的轨迹方程;

(3)过原点O的直线交椭圆于点B、C,求△ABC面积的最大值。

 

查看答案和解析>>

科目:高中数学 来源:2012届山东省高二下学期期末考试理科数学 题型:解答题

(本小题满分14分) 已知在平面直角坐标系xoy中的一个椭圆,它的中心在原

(1)求该椭圆的标准方程;

(2)若P是椭圆上的动点,求线段PA中点M的轨迹方程;

(3)过原点O的直线交椭圆于点B、C,求△ABC面积的最大值。

 

查看答案和解析>>

同步练习册答案