精英家教网 > 高中数学 > 题目详情

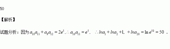
若等比数列{an}的各项均为正数,且a10a11+a9a12=2e5,则

练习册系列答案
相关习题

科目:高中数学 来源:2016届宁夏银川市高三上学期统练二理科数学试卷(解析版) 题型:选择题

已知命题p:函数在(0,1)内恰有一个零点;

命题q:函数上是减函数,若p且为真命题,则实数的取值范围是( )

A. B.2 C.1<≤ 2 D.≤ l或>2

查看答案和解析>>

科目:高中数学 来源:2016届黑龙江省高三第一段考理科数学试卷(解析版) 题型:解答题

(本小题满分12分)关于x的二次方程在区间上有解,求实数m的取值范围.

查看答案和解析>>

科目:高中数学 来源:2016届河北省高三上第二次月考理科数学试卷B(解析版) 题型:解答题

(本小题满分12分)中,角的对边分别为,已知点在直线上.

(1)求角的大小;

(2)若为锐角三角形且满足,求实数的最小值。

查看答案和解析>>

科目:高中数学 来源:2016届河北省高三上第二次月考理科数学试卷A(解析版) 题型:填空题

把函数图象上各点向右平移个单位,得到函数的图象,则的最小值为

查看答案和解析>>

科目:高中数学 来源:2016届福建省四地六校高三上学期10月联考理科数学试卷(解析版) 题型:解答题

(本题满分12分)已知函数

(1)若,求在点处的切线方程;

(2)若,求函数上的最大值和最小值.

查看答案和解析>>

科目:高中数学 来源:2013-2014学年辽宁省高考前最后模拟文科数学试卷(解析版) 题型:填空题

设某几何体的三视图如下(尺寸的长度单位为),则该几何体的体积为

查看答案和解析>>

科目:高中数学 来源:2016届辽宁省五校协作体高三上学期期初考试理科数学试卷(解析版) 题型:解答题

(本题满分12分)在中,中点,已知

(1)判断的形状;

(2)若的三边长是连续三个正整数,求的余弦值.

查看答案和解析>>

科目:高中数学 来源:2016届河北省高三上第二次月考理科数学A卷(解析版) 题型:选择题

下列四个结论,其中正确结论的个数是( )

①命题“”的否定是“”;

②命题“若”的逆否命题为“若”;

③“命题为真”是“命题为真”的充分不必要条件;

④若,则恒成立.

A.4个 B.3个 C.2个 D.1个

查看答案和解析>>

同步练习册答案