精英家教网 > 高中数学 > 题目详情
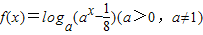
函数f(x)的定义域为D,若存在闭区间[a,b]⊆D,使得函数f(x)满足:①f(x)在[a,b]内是单调函数;②f(x)在[a,b]上的值域为[2a,2b],则称区间[a,b]为y=f(x)的“倍值区间”.下列函数中存在“倍值区间”的有( )
①f(x)=x2(x≥0);
②f(x)=ex(x∈R);
③f(x)=(x≥0);
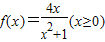
④f(x)=
A.①②③④
B.①②④
C.①③④
D.①③
【答案】分析:根据函数中存在“倍值区间”,则:①f(x)在[a,b]内是单调函数;②,对四个函数分别研究,从而确定是否存在“倍值区间”
解答:解:函数中存在“倍值区间”,则:①f(x)在[a,b]内是单调函数;②
①f(x)=x2(x≥0),若存在“倍值区间”[a,b],则,∴
∴f(x)=x2(x≥0),若存在“倍值区间”[0,2];
②f(x)=ex(x∈R),若存在“倍值区间”[a,b],则,∴
构建函数g(x)=ex-2x,∴g′(x)=ex-2,
∴函数在(-∞,ln2)上单调减,在(ln2,+∞)上单调增,
∴函数在x=ln2处取得极小值,且为最小值.
∵g(ln2)=2-2ln2>0,∴g(x)>0恒成立,∴ex-2x=0无解,故函数不存在“倍值区间”;
=
若存在“倍值区间”[a,b]⊆[0,1],则,∴,∴a=0,b=1,若存在“倍值区间”[0,1];
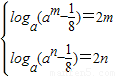
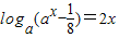
.不妨设a>1,则函数在定义域内为单调增函数
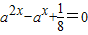
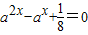
若存在“倍值区间”[m,n],则,必有
必有m,n是方程的两个根,
必有m,n是方程的两个根,
由于存在两个不等式的根,故存在“倍值区间”[m,n];
综上知,所给函数中存在“倍值区间”的有①③④
故选C.
点评:本题考查新定义,考查学生分析解决问题的能力,涉及知识点较多,需要谨慎计算.
练习册系列答案
相关习题

科目:高中数学 来源: 题型:

函数f(x)的定义域为{x|x≠0},且满足对于定义域内任意的x1,x2都有等式f(x1•x2)=f(x1)+f(x2
(Ⅰ)求f(1)的值;
(Ⅱ)判断f(x)的奇偶性并证明;
(Ⅲ)若f(2)=1,且f(x)在(0,+∞)上是增函数,解关于x的不等式f(2x-1)-3≤0.

查看答案和解析>>

科目:高中数学 来源: 题型:

若函数f(x)的定义域是[0,1),则F(x)=f[log 
12
(3-x)
]的定义域为
 

查看答案和解析>>

科目:高中数学 来源: 题型:

已知a>0且a≠1,函数f(x)=loga(x+1),g(x)=loga
11-x
,记F(x)=2f(x)+g(x)
(1)求函数F(x)的定义域D及其零点;
(2)试讨论函数F(x)在定义域D上的单调性;
(3)若关于x的方程F(x)-2m2+3m+5=0在区间[0,1)内仅有一解,求实数m的取值范围.

查看答案和解析>>

科目:高中数学 来源: 题型:

若函数f(x)的定义域为(-1,1),它在定义域内既是奇函数又是增函数,且f(a-3)+f(4-2a)<0,则实数a的取值范围是(  )

查看答案和解析>>

科目:高中数学 来源: 题型:

若函数f(x)的定义域为[-1,2],则函数
f(x+2)
x
的定义域为(  )
A、[-1,0)∪(0,2]
B、[-3,0)
C、[1,4]
D、(0,2]

查看答案和解析>>

同步练习册答案