精英家教网 > 高中数学 > 题目详情

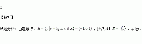
已知集合,则( )

A. B. C. D.

练习册系列答案
相关习题

科目:高中数学 来源:2015-2016学年吉林实验中学高二下期中理科数学试卷(解析版) 题型:选择题

已知某一随机变量X的概率分布列如下表,E(X)=6.3,则a值为( )

X

4

a

9

P

0.5

0.1

b

(A)5 (B)6 (C)7 (D)8

查看答案和解析>>

科目:高中数学 来源:2015-2016学年山西怀仁一中高一下第三次月考理科数学卷(解析版) 题型:选择题

( )

A. B. C. D.

查看答案和解析>>

科目:高中数学 来源:2016届黑龙江哈尔滨六中高三下四模考试文科数学试卷(解析版) 题型:填空题

设等比数列的前项和为,若,则___________.

查看答案和解析>>

科目:高中数学 来源:2016届黑龙江哈尔滨六中高三下四模考试文科数学试卷(解析版) 题型:选择题

已知等差数列中,,若,则数列的前5项和等于( )

A.90 B.45 C.30 D.186

查看答案和解析>>

科目:高中数学 来源:2015-2016学年福建省高一下学期第一次月考数学试卷(解析版) 题型:解答题

已知圆C:内有一点P(2,2),过点P作直线l交圆C于A、B两点.

(1) 当弦AB被点P平分时,写出直线l的方程;

(2) 当直线l的倾斜角为45º时,求弦AB的长.

查看答案和解析>>

科目:高中数学 来源:2015-2016学年福建省高一下学期第一次月考数学试卷(解析版) 题型:选择题

给出以下一个算法的程序框图(如图所示),该程序框图的功能是( )

A.求输出a,b,c三数的最大数 B.求输出a,b,c三数的最小数

C.将a,b,c按从小到大排列 D.将a,b,c按从大到小排列

查看答案和解析>>

科目:高中数学 来源:2015-2016学年山西省高二3月月考文科数学试卷(解析版) 题型:填空题

设等差数列的前项和为,若 .

查看答案和解析>>

科目:高中数学 来源:2015-2016学年甘肃省嘉峪关市高二上学期期末文科数学试卷(解析版) 题型:解答题

已知函数

(1)求的单调区间;

(2)若在区间上的最大值为20,求的值.

查看答案和解析>>

同步练习册答案