精英家教网 > 高中数学 > 题目详情
已知椭圆C的两个焦点分别为F1(-1,0),F2(1,0),点在椭圆C上,抛物线E以椭圆C的中心为顶点,F2为焦点。
(1)求椭圆C的方程;
(2)直线l过点F2,且交y轴于D点,交抛物线E于A,B两点,
①若F1B⊥F2B,求|AF2|-|BF2|的值;
②试探究:线段AB与F2D的长度能否相等?如果|AB|=|F2D|,求直线l的方程。
解:(1)由题意,设椭圆C的方程为:

=4
∴a=2
又c=1

故椭圆C的方程为:
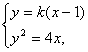
(2)由题意可得,抛物线E:y2=4x,
设l:y=k(x-1)(k≠0),
联立方程组
消去y得:k2x2-2(k2+2)x+k2=0,
Δ=16(k2+1)>0恒成立
设A(x1,y1),B(x2,y2),
,x1·x2=1
①∵


∴x1-x2=4,
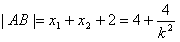
|AF2|-|BF2|=x1-x2=4。
②假设|AB|=|F2D|
因为直线l过点F2
所以
又D(0,-k),F2(1,0)

由|AB|=|F2D|

∴k4-16k2-16=0,
所以(负值舍去),
从而
所以当l的方程为时有|AB|=|F2D|。
练习册系列答案
相关习题

科目:高中数学 来源: 题型:

已知椭圆C的两个焦点为F1(-2
2
,0)
F2(2
2
,0)
,P为椭圆上一点,满足∠F1PF2=60°.
(1)当直线l过F1与椭圆C交于M、N两点,且△MF2N的周长为12时,求C的方程;
(2)求△F1PF2的面积.

查看答案和解析>>

科目:高中数学 来源: 题型:

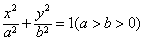
精英家教网给定椭圆C:
x2
a2
+
y2
b2
=1
(a>b>0),称圆心在坐标原点O,半径为
a2+b2
的圆是椭圆C的“伴随圆”.
(1)若椭圆C过点(
5
,0)
,且焦距为4,求“伴随圆”的方程;
(2)如果直线x+y=3
2
与椭圆C的“伴随圆”有且只有一个交点,那么请你画出动点Q(a,b)轨迹的大致图形;
(3)已知椭圆C的两个焦点分别是F1(-
2
,0)、F2
2
,0),椭圆C上一动点M1满足|
M1F1
|+|
M1F
2
|=2
3
.设点P是椭圆C的“伴随圆”上的动点,过点P作直线l1、l2使得l1、l2与椭圆C都各只有一个交点,且l1、l2分别交其“伴随圆”于点M、N.当P为“伴随圆”与y轴正半轴的交点时,求l1与l2的方程,并求线段|
MN
|
的长度.

查看答案和解析>>

科目:高中数学 来源: 题型:

给定椭圆C:
x2
a2
+
y2
b2
=1
(a>b>0),称圆心在坐标原点O,半径为
a2+b2
的圆是椭圆C的“伴随圆”. 已知椭圆C的两个焦点分别是F1(-
2
,0)、F2(
2
,0)
,椭圆C上一动点M1满足|
M1F1
|+|
M1F
2
|=2
3

(Ⅰ)求椭圆C及其“伴随圆”的方程
(Ⅱ)试探究y轴上是否存在点P(0,m)(m<0),使得过点P作直线l与椭圆C只有一个交点,且l截椭圆C的“伴随圆”所得的弦长为2
2
.若存在,请求出m的值;若不存在,请说明理由.

查看答案和解析>>

科目:高中数学 来源: 题型:

已知椭圆C的两个焦点分别为F1(-1,0),F2(1,0),抛物线E以坐标原点为顶点,F2为焦点.直线l过点F2,且交y轴于D点,交抛物线E于A,B两点若F1B⊥F2B,则|AF2|-|BF2|=
4
4

查看答案和解析>>

科目:高中数学 来源: 题型:

(2013•潮州二模)已知椭圆C的两个焦点为F1(-1,0),F2(1,0),点A(1,
2
2
)
在椭圆C上.
(1)求椭圆C的方程;
(2)已知点B(2,0),设点P是椭圆C上任一点,求
PF
1
PB
的取值范围.

查看答案和解析>>

同步练习册答案