精英家教网 > 高中数学 > 题目详情
已知正四棱锥S-ABCD中,SA=2,那么当该棱锥的体积最大时,它的高为( )
A.1
B.
C.2
D.3
【答案】分析:设出底面边长,求出正四棱锥的高,写出体积表达式,利用求导求得最大值时,高的值.
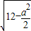
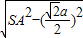
解答:解:设底面边长为a,则高h==,所以体积V=a2h=
设y=12a4-a6,则y′=48a3-3a5,当y取最值时,y′=48a3-3a5=0,解得a=0或a=4时,体积最大,
此时h==2,故选C.
点评:本试题主要考查椎体的体积,考查高次函数的最值问题的求法.是中档题.
练习册系列答案
相关习题

科目:高中数学 来源: 题型:

(文做理不做)已知:正四棱锥S-ABCD的高为
3
,斜高为2,设E为AB中点,F为SC中点,M为CD边上的点.
(1)求证:EF∥平面SAD;
(2)试确定点M的位置,使得平面EFM⊥底面ABCD.

查看答案和解析>>

同步练习册答案