精英家教网 > 高中数学 > 题目详情

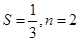
程序框图如图所示,其输出结果是,则判断框中所填的条件是(   )

A.     B.     C.     D.

 

【答案】

B

【解析】

试题分析:由题意可知第一次运行后,第二次运行后,第三次运行后,第四次运行后,第五次运行后,此时停止运算,又判断框下方是“是”,故应填.故选B.

考点:算法流程图.

 

练习册系列答案
相关习题

科目:高中数学 来源: 题型:

程序框图如图所示,其作用是输入空间直角坐标平面中一点P(a,b,c),则输出相应点Q(a,b,c),若点P的坐标为(2,3,1).若O为坐标原点,则cos<
OP
OQ
=(  )

查看答案和解析>>

科目:高中数学 来源: 题型:

程序框图如图所示,其输出结果是(  )

查看答案和解析>>

科目:高中数学 来源: 题型:

(2013•浙江模拟)程序框图如图所示,其输出结果
1
11
,则判断框中所填的条件是(  )

查看答案和解析>>

科目:高中数学 来源: 题型:

程序框图如图所示,其输出结果是(  )

查看答案和解析>>

科目:高中数学 来源: 题型:

程序框图如图所示,其输出结果是(  )

查看答案和解析>>

同步练习册答案