精英家教网 > 高中数学 > 题目详情
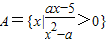
设函数的定义域为A,若命题p:3∈A与q:5∈A有且只有一个为真命题,求实数a的取值范围.
【答案】分析:由题意可得.由3∈A,5∈A分别可求P,q所对应的a的范围,由命题p:3∈A与q:5∈A有且只有一个为真命题,可讨论:P真q假;P假q真,可求
解答:解:由题意可得.…(1分)
,…(3分)
.…(5分)
若P真q假,则a无解;…(8分)
若P假q真,则,解可得1或9≤a<25…(12分)
综上,.…(14分)
点评:本题主要考查了对数函数的定义域,分式不等式的解法,要注意分类讨论思想的应用.
练习册系列答案
相关习题

科目:高中数学 来源: 题型:

(本题12分)设函数的定义域为A,集合

(1)求;  (2)若,求的取值范围。

查看答案和解析>>

科目:高中数学 来源:2011-2012学年辽宁省高三第二次月考理科数学试卷 题型:解答题

设函数的定义域为A,不等式的解集为B.

(1)求A;

(2)若BA,求实数a的取值范围

 

查看答案和解析>>

科目:高中数学 来源:浙江省09-10学年高一下学期期末提前招数学试题 题型:解答题

 

(本题10分)设函数的定义域为A, 的定义域为B.(1)求A;   (2)若,求实数a的取值范围

 

 

查看答案和解析>>

科目:高中数学 来源:2010年河南省卫辉市高一第三次月考数学试卷 题型:选择题

(本题12分)设函数的定义域为A,  函数 (其中)的定义域为B.   

(1) 求集合A和B; 

(2) 设全集,当a=0时,求

(3) 若, 求实数的取值范围.

 

查看答案和解析>>

科目:高中数学 来源:2010-2011年辽宁省瓦房店市高一下学期期末联考理科数学 题型:解答题

(本小题满分12分)

设函数的定义域为A,不等式的解集为B.

(1)求A;

(2)若BA,求实数a的取值范围.

 

 

查看答案和解析>>

同步练习册答案