精英家教网 > 高中数学 > 题目详情
在数列{an}中,a1=1,2an+1=(1+)2an
(Ⅰ)求{an}的通项公式;
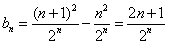
(Ⅱ)令bn=an+1-an,求数列{bn}的前n项和Sn
(Ⅲ)求数列{an}的前n项和Tn
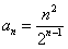
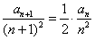
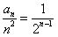
解:(Ⅰ)由条件得,又n=1时,
故数列构成首项为1,公比为的等比数列,
从而,即
(Ⅱ)由,得

两式相减得:
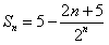
所以
(Ⅲ)由
所以
练习册系列答案
相关习题

科目:高中数学 来源: 题型:

在数列{an}中,
a
 
1
=1
an=
1
2
an-1+1
(n≥2),则数列{an}的通项公式为an=
2-21-n
2-21-n

查看答案和解析>>

科目:高中数学 来源: 题型:

在数列{an}中,a 1=
1
3
,并且对任意n∈N*,n≥2都有an•an-1=an-1-an成立,令bn=
1
an
(n∈N*).
(Ⅰ)求数列{bn}的通项公式;
(Ⅱ)设数列{
an
n
}的前n项和为Tn,证明:
1
3
Tn
3
4

查看答案和解析>>

科目:高中数学 来源: 题型:

在数列{an}中,a=
12
,前n项和Sn=n2an,求an+1

查看答案和解析>>

科目:高中数学 来源: 题型:

在数列{an}中,a1=a,前n项和Sn构成公比为q的等比数列,________________.

(先在横线上填上一个结论,然后再解答)

查看答案和解析>>

科目:高中数学 来源:2012-2013学年广东省汕尾市陆丰市碣石中学高三(上)第四次月考数学试卷(理科)(解析版) 题型:解答题

在数列{an}中,a,并且对任意n∈N*,n≥2都有an•an-1=an-1-an成立,令bn=(n∈N*).
(Ⅰ)求数列{bn}的通项公式;
(Ⅱ)设数列{}的前n项和为Tn,证明:

查看答案和解析>>

同步练习册答案