精英家教网 > 高中数学 > 题目详情
如图,椭圆G的中心在坐标原点,其中一个焦点为圆F:x2+y2-2x=0的圆心,右顶点是圆F与x轴的一个交点.已知椭圆G与直线l:x-my-1=0相交于A、B两点.
(I)求椭圆的方程;
(Ⅱ)求△AOB面积为时,求直线l的方程.

【答案】分析:(I)设椭圆方程为,圆F的标准方程为(x-1)2+y2=1,圆心为F(1,0),圆与x轴的交点为(0,0)和(2,0),由题意a=2,半焦距c=1,由此能求出椭圆方程.
(Ⅱ)设A(x1,y1),B(x2,y2),由,得(3m2+4)y2+6my-9=0,所以|y1-y2|=,故S△AOB=•|OF|•|y1-y2|=,由△AOB面积为能求出直线l的方程.
解答:解:(I)设椭圆方程为
圆F的标准方程为(x-1)2+y2=1,
圆心为F(1,0),圆与x轴的交点为(0,0)和(2,0),
由题意a=2,半焦距c=1,
∴b2=a2-c2=4-1=3,
∴椭圆方程为
(Ⅱ)设A(x1,y1),B(x2,y2),
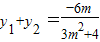
,得(3m2+4)y2+6my-9=0,

∴|y1-y2|=
=
S△AOB=•|OF|•|y1-y2|=
∵△AOB面积为,∴=

整理,得27m4-28m2-52=0,
△=282+4×27×52=42×400,

∴m2=2,或(舍),∴
∴直线l的方程为
点评:本题考查椭圆方程和直线方程的求法,解题时要认真审题,仔细解答,注意根的判别式、韦达定理、圆的简单性质、直线与椭圆的位置关系等知识点的合理运用.
练习册系列答案
相关习题

科目:高中数学 来源: 题型:

如图,椭圆G的中心在坐标原点,其中一个焦点为圆F:x2+y2-2x=0的圆心,右顶点是圆F与x轴的一个交点.已知椭圆G与直线l:x-my-1=0相交于A、B两点.
(I)求椭圆的方程;
(Ⅱ)求△AOB面积的最大值.

查看答案和解析>>

科目:高中数学 来源: 题型:

如图,椭圆G的中心在坐标原点,其中一个焦点为圆F:x2+y2-2x=0的圆心,右顶点是圆F与x轴的一个交点.已知椭圆G与直线l:x-my-1=0相交于A、B两点.
(I)求椭圆的方程;
(Ⅱ)求△AOB面积为
3
3
5
时,求直线l的方程.

查看答案和解析>>

科目:高中数学 来源: 题型:解答题

如图,椭圆G的中心在坐标原点,其中一个焦点为圆F:x2+y2-2x=0的圆心,右顶点是圆F与x轴的一个交点.已知椭圆G与直线l:x-my-1=0相交于A、B两点.
(I)求椭圆的方程;
(Ⅱ)求△AOB面积为数学公式时,求直线l的方程.

查看答案和解析>>

科目:高中数学 来源: 题型:解答题

如图,椭圆G的中心在坐标原点,其中一个焦点为圆F:x2+y2-2x=0的圆心,右顶点是圆F与x轴的一个交点.已知椭圆G与直线l:x-my-1=0相交于A、B两点.
(I)求椭圆的方程;
(Ⅱ)求△AOB面积的最大值.

查看答案和解析>>

科目:高中数学 来源:2011-2012学年山东省烟台市莱州一中高三第三次质量检测数学试卷(理科)(解析版) 题型:解答题

如图,椭圆G的中心在坐标原点,其中一个焦点为圆F:x2+y2-2x=0的圆心,右顶点是圆F与x轴的一个交点.已知椭圆G与直线l:x-my-1=0相交于A、B两点.
(I)求椭圆的方程;
(Ⅱ)求△AOB面积的最大值.

查看答案和解析>>

同步练习册答案