精英家教网 > 高中数学 > 题目详情
下列函数中,周期是π的偶函数是( )
A.y=2-sin2
B.y=|sinx|+|cosx|
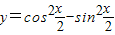
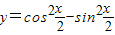
C.
D.y=sin|x|
【答案】分析:利用二倍角化简A,C,通过函数的奇偶性与周期判断A,C的正误;函数的周期性判断D的正误;
解答:解:对于A,y=2-sin2x=,因为f(-x)==f(x),
函数是偶函数,T==π,满足题意,正确.
对于B,函数是偶函数,但是函数的周期是,不满足题意;
对于C,=cosx,是偶函数,周期是2π,不满足题意;
对于D,函数是偶函数,但是不是周期函数;
故选A.
点评:本题是基础题,考查函数的周期性、函数的奇偶性,二倍角公式的应用,考查计算能力.
练习册系列答案
相关习题

科目:高中数学 来源: 题型:

下列函数中,周期是π的偶函数是(  )

查看答案和解析>>

科目:高中数学 来源: 题型:

下列函数中,周期是π,且在[0,
π
2
]上是减函数的是(  )

查看答案和解析>>

科目:高中数学 来源: 题型:

下列函数中,周期是π且在(0,
π
2
)
上为增函数的是(  )

查看答案和解析>>

科目:高中数学 来源:2014届福建省高二下学期期末考试文科数学试卷(解析版) 题型:选择题

下列函数中,周期是且在上为增函数的是(    )

A.       B.        C.       D.

 

查看答案和解析>>

科目:高中数学 来源:2011-2012学年河北省石家庄市高三上学期质量检测考试文科数学 题型:选择题

下列函数中,周期是,又是偶函数的是[

  A.y=sinx    B.y=cosx    C.y=sin2x   D.y=cos2x

 

查看答案和解析>>

同步练习册答案