精英家教网 > 高中数学 > 题目详情

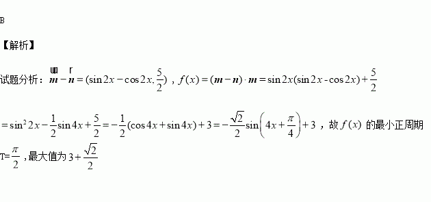
已知向量,则函数的最小正周期与最大值分别为

A. B.

C. D.

练习册系列答案
相关习题

科目:高中数学 来源:2015-2016学年河北邢台市高二上学期第一次月考文科数学试卷(解析版) 题型:选择题

圆台的上、下底面半径和高的比为1: 4: 4,母线长为10,则圆台的侧面积为( )

A.81π B.100π C.14π D.169π

查看答案和解析>>

科目:高中数学 来源:2015-2016学年甘肃省张掖市高二上学期10月月考文科数学试卷(解析版) 题型:解答题

(本小题满分12分)已知等比数列{an}满足:a1=2,a2•a4=a6.

(1)求数列{an}的通项公式;

(2)记数列bn=,求该数列{bn}的前n项和Sn.

查看答案和解析>>

科目:高中数学 来源:2015-2016学年湖南省长沙市推荐高二上学期开学分班数学试卷(解析版) 题型:填空题

设P是一个数集,且至少含有两个数,若对任意a、b∈P,都有a+b、a-b、ab、∈P(除数b≠0)则称P是一个数域,例如有理数集Q是数域,有下列命题:

①数域必含有0,1两个数;

②整数集是数域;

③若有理数集QM,则数集M必为数域;

④数域必为无限集.

其中正确的命题的序号是 .(填上你认为正确的命题的序号)

查看答案和解析>>

科目:高中数学 来源:2014-2015学年江西省赣州市高一下学期期末考试数学试卷(解析版) 题型:选择题

等比数列的各项均为正数,且,则

A. B. C. D.

查看答案和解析>>

科目:高中数学 来源:2016届江西省名校学术联盟高三第一次调研一理科数学试卷(解析版) 题型:填空题

已知展开式的常数项为15,则展开式的各项系数和为

查看答案和解析>>

科目:高中数学 来源:2016届江苏省高三第一阶段月考数学试卷(解析版) 题型:填空题

已知函数,则

查看答案和解析>>

科目:高中数学 来源:2016届安徽省高三第一次联考理科数学试卷(解析版) 题型:选择题

某空间几何体的三视图如图所示,则此几何体的体积为( )

A.10 B.15 C.20 D.30

查看答案和解析>>

科目:高中数学 来源:2014-2015学年吉林省高二下学期期末理科数学试卷(解析版) 题型:选择题

复数z满足(i为虚数单位),则z的共轭复数为( )

A. B. C. D.

查看答案和解析>>

同步练习册答案