精英家教网 > 高中数学 > 题目详情
如图椭圆的上顶点为A,左顶点为B,F为右焦点,过F作平行与AB的直线交椭圆于C、D两点.作平行四边形OCED,E恰在椭圆上.
(Ⅰ)求椭圆的离心率;
(Ⅱ)若平行四边形OCED的面积为,求椭圆的方程.

【答案】分析:(I)根据题意可知AB的斜率,进而根据点斜式表示出直线CD的方程,代入椭圆方程,进而可表示出CD的中点的坐标,则E点的坐标可得,代入椭圆方程即可求得a和c的关系式求得离心率e.
(II)先设直线CD的方程,将直线的方程代入椭圆的方程,消去y得到关于x的一元二次方程,再结合根系数的关系利用弦长公式即可求得c值,从而解决问题.
解答:解:(Ⅰ)∵焦点为F(c,0),AB斜率为,故CD方程为y=(x-c).与椭圆联立后消去y得2x2-2cx-b2=0.
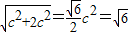
∵CD的中点为G(,-),点E(c,-)在椭圆上,
∴将E(c,-)代入椭圆方程并整理得2c2=a2
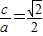
∴e=
(Ⅱ)由(Ⅰ)知CD的方程为y=(x-c),b=c,a=c.
与椭圆联立消去y得2x2-2cx-c2=0.
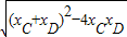
∵平行四边形OCED的面积为:
S=c|yC-yD|=c
=c
∴c=,a=2,b=
故椭圆方程为
点评:本题主要考查了椭圆的简单性质,考查了学生综合运用基础知识的能力.
练习册系列答案
相关习题

科目:高中数学 来源:2012-2013学年广东高二第二次月考文科数学试卷(解析版) 题型:解答题

(本小题满分14分)如图椭圆的上顶点为A,左顶点为B, F为右焦点, 过F作平行于AB的直线交椭圆于C、D两点. 作平行四边形OCED, E恰在椭圆上。

(Ⅰ)求椭圆的离心率;

(Ⅱ)若平行四边形OCED的面积为, 求椭圆的方程.

 

查看答案和解析>>

科目:高中数学 来源:2014届山东济宁泗水一中高二12月质量检测理科数学试卷(解析版) 题型:解答题

(本小题满分12分)

如图椭圆的上顶点为A,左顶点为B, F为右焦点, 过F作平行与AB的直线交椭圆于C、D两点. 作平行四边形OCED, E恰在椭圆上。

(1)求椭圆的离心率;

(2)若平行四边形OCED的面积为, 求椭圆的方程.

 

查看答案和解析>>

科目:高中数学 来源: 题型:解答题

如图椭圆数学公式的上顶点为A,左顶点为B,F为右焦点,过F作平行与AB的直线交椭圆于C、D两点.作平行四边形OCED,E恰在椭圆上.
(Ⅰ)求椭圆的离心率;
(Ⅱ)若平行四边形OCED的面积为数学公式,求椭圆的方程.

查看答案和解析>>

科目:高中数学 来源:2012-2013学年山东省德州市某中学高二(上)12月月考数学试卷(解析版) 题型:解答题

如图椭圆的上顶点为A,左顶点为B,F为右焦点,过F作平行与AB的直线交椭圆于C、D两点.作平行四边形OCED,E恰在椭圆上.
(Ⅰ)求椭圆的离心率;
(Ⅱ)若平行四边形OCED的面积为,求椭圆的方程.

查看答案和解析>>

同步练习册答案