精英家教网 > 高中数学 > 题目详情

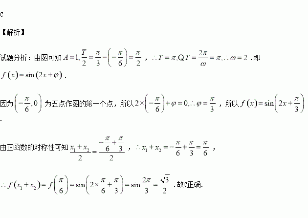
函数的部分图象如图所示, 如果,且,则等于( )

A、 B、 C、 D、1

练习册系列答案
相关习题

科目:高中数学 来源:2016届云南省高三适应性月考二文科数学试卷(解析版) 题型:填空题

已知圆C:,若等边△PAB的一边AB为圆C的一条弦,则|PC|的最大值为

查看答案和解析>>

科目:高中数学 来源:2016届湖北武汉华中师大第一附中高三上期中考试文科数学试卷(解析版) 题型:填空题

设函数,则使得成立的的取值范围为_______.

查看答案和解析>>

科目:高中数学 来源:2016届湖北省、宜昌一中高三10月联考理科数学试卷(解析版) 题型:填空题

中,,则的最大角的余弦值为

查看答案和解析>>

科目:高中数学 来源:2015-2016学年甘肃省高一上学期期中数学试卷(解析版) 题型:选择题

函数的单调递减区间为( )

A. B. C. D.

查看答案和解析>>

科目:高中数学 来源:2016届浙江省瑞安市高三上学期第一次四校联考理科数学试卷(解析版) 题型:选择题

已知一个空间几何体的三视图如图所示,根据图中标出的尺寸,可得这个几何体的体积是 ( )

A.2 B.4 C.6 D.

查看答案和解析>>

科目:高中数学 来源:2015-2016学年内蒙古赤峰平煤高中高二上学期月考数学试卷(解析版) 题型:解答题

农科院的专家为了了解新培育的甲、乙两种麦苗的长势情况,从甲、乙两种麦苗的试验田中各抽取6株麦苗测量麦苗的株高,数据如下:(单位:cm)

甲:9,10,11,12,10,20

乙:8,14,13,10,12,21

(1)在给出的方框内绘出所抽取的甲、乙两种麦苗株高的茎叶图;

(2)分别计算所抽取的甲、乙两种麦苗株高的平均数与方差,并由此判断甲、乙两种麦苗的长势情况.

查看答案和解析>>

科目:高中数学 来源:2015-2016学年江西省南昌市高一上学期第一次月考数学试卷(解析版) 题型:解答题

已知集合

(Ⅰ)若,求实数的取值范围;

(Ⅱ)若,求实数的取值范围.

查看答案和解析>>

科目:高中数学 来源:2015-2016学年吉林省长春市高一上学期期初考试理科数学试卷(解析版) 题型:解答题

(10分)已知函数

,求实数的值.

查看答案和解析>>

同步练习册答案