精英家教网 > 高中数学 > 题目详情

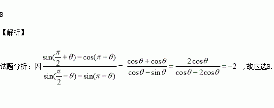
已知,则( )

A. B. C. D.

练习册系列答案
相关习题

科目:高中数学 来源:2015-2016学年山西省高二下期末文科数学试卷(解析版) 题型:选择题

若函数上都是减函数,则上是( )

A.增函数 B.减函数 C.先增后减 D.先减后增

查看答案和解析>>

科目:高中数学 来源:2016届天津市和平区高三第四次模拟理科数学试卷(解析版) 题型:解答题

某同学需通过选拔考试进入学校的“体育队”和“文艺队”,进入这两个队成功与否是相互独立的,能同时进入这两个队的概率是,至少能进入一个队的概率是,并且能进入“体育队”的概率小于能进入“文艺队”的概率.

(Ⅰ)求该同学通过选拔进入“体育队”的概率和进入“文艺队”的概率

(Ⅱ)学校对于进入“体育队”的同学增加2个选修课学分,对于进入“文艺队”的同学增加1个选修课学分,求该同学获得选修课加分分数的分布列与数学期望.

查看答案和解析>>

科目:高中数学 来源:2015-2016学年湖南衡阳一中高一下期末数学试卷(解析版) 题型:解答题

在递增的等差数列中,已知

(1)求数列的通项公式;

(2)若数列满足,求数列的通项公式;

(3)令,求数列的前项和.

查看答案和解析>>

科目:高中数学 来源:2015-2016学年湖南衡阳一中高一下期末数学试卷(解析版) 题型:填空题

已知数列的通项公式,则数列的项取最大值时,

查看答案和解析>>

科目:高中数学 来源:2015-2016学年湖南衡阳一中高一下期末数学试卷(解析版) 题型:选择题

中,角的对边分别为,则以下结论错误的为( )

A.若,则

B.

C.若,则;反之,若,则

D.若 ,则

查看答案和解析>>

科目:高中数学 来源:2015-2016学年重庆一中高一下期末数学试卷(解析版) 题型:解答题

某校从高一年级学生中随机抽取40名学生,将他们的期中考试数学成绩(满分100分,成绩均为不低于40分的整数)分成六段:[40,50),[50,60),…,[90,100]后得到如图所示的频率分布直方图.

(Ⅰ)若该校高一年级共有学生640名,试估计该校高一年级期中考试数学成绩不低于60分的人数;

(Ⅱ)若从数学成绩在[40,50)与[90,100]两个分数段内的学生中随机选取2名学生,求这2名学生的数学成绩之差的绝对值不大于10的概率.

查看答案和解析>>

科目:高中数学 来源:2015-2016学年重庆一中高一下期末数学试卷(解析版) 题型:选择题

设a=,b=(3,1),若ab,则实数k的值等于( )

(A)- (B)- (C) (D)

查看答案和解析>>

科目:高中数学 来源:2015-2016学年四川省实验学校高一下期中数学试卷(解析版) 题型:选择题

中,,则角 ( )

A、 B、

C、 D、以上答案都不对

查看答案和解析>>

同步练习册答案