精英家教网 > 高中数学 > 题目详情

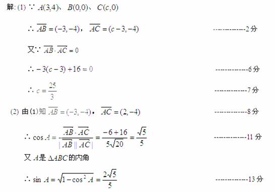
(本小题满分13分)

已知三个顶点的直角坐标分别为

(1)若,求的值;

(2)若,求的值.

练习册系列答案
相关习题

科目:高中数学 来源:2015届江西省高一第二次月考数学试卷(解析版) 题型:解答题

(本小题满分13分)已知函数.

(1)求函数的最小正周期和最大值;

(2)在给出的直角坐标系中,画出函数在区间上的图象.

(3)设0<x<,且方程有两个不同的实数根,求实数m的取值范围.

 

查看答案和解析>>

科目:高中数学 来源:2011-2012学年福建省高三年级八月份月考试卷理科数学 题型:解答题

(本小题满分13分)已知定义域为的函数是奇函数.

(1)求的值;(2)判断函数的单调性;

(3)若对任意的,不等式恒成立,求k的取值范围.

 

查看答案和解析>>

科目:高中数学 来源:2011-2012学年福建省高三年级八月份月考试卷理科数学 题型:解答题

(本小题满分13分)已知集合, ,.

(1)求(∁; (2)若,求的取值范围.

 

查看答案和解析>>

科目:高中数学 来源:河南省09-10学年高二下学期期末数学试题(理科) 题型:解答题

 

(本小题满分13分)如图,正三棱柱的所有棱长都为2,的中点。

(Ⅰ)求证:∥平面

(Ⅱ)求异面直线所成的角。www.7caiedu.cn           

 

 

 

 

 

 


[来源:KS5

 

 

 

 

U.COM

查看答案和解析>>

科目:高中数学 来源:2010-2011学年福建省高三5月月考调理科数学 题型:解答题

(本小题满分13分)

已知为锐角,且,函数,数列{}的首项.

(1) 求函数的表达式;

(2)在中,若A=2,,BC=2,求的面积

(3) 求数列的前项和

 

 

查看答案和解析>>

同步练习册答案