精英家教网 > 高中数学 > 题目详情

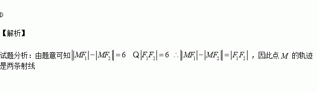
平面内,到两定点的距离之差的绝对值等于的点的轨迹

(A)椭圆 (B)线段 (C)双曲线 (D)两条射线

练习册系列答案
相关习题

科目:高中数学 来源:2015-2016学年黑龙江省高二上学期期中数学试卷(解析版) 题型:选择题

分别为直线和圆上的点,则的最小值为( )

A. B. C. D.

查看答案和解析>>

科目:高中数学 来源:2015-2016学年福建省高二上学期期中考试理科数学试卷(解析版) 题型:填空题

设变量x,y满足约束条件,则的最小值为

查看答案和解析>>

科目:高中数学 来源:2015-2016学年山东省临沂市高二上期中模拟理数学试卷(解析版) 题型:选择题

设x,y满足约束条件 ,若目标函数的最大值为12,则的最小值为 ( ).

A.4 B. C. D.

查看答案和解析>>

科目:高中数学 来源:2015-2016学年辽宁省大连市高二上期中文科数学试卷(解析版) 题型:选择题

平面内到两定点的距离之差的绝对值等于的点的轨迹

(A)椭圆 (B)线段 (C)两条射线 (D)双曲线

查看答案和解析>>

科目:高中数学 来源:2015-2016学年江西省等三校高二上第一次联考数学试卷(解析版) 题型:选择题

直线y=kx+3与圆(x-3)2+(y-2)2=4相交于M,N两点,若|MN|≥2,则k的取值范围是( )

A.[-,0] B.(-∞,-]∪[0,+∞)

C.[-] D.[-,0]

查看答案和解析>>

科目:高中数学 来源:2015-2016学年江西省赣州市十三县高二上期中联考文科数学试卷(解析版) 题型:选择题

,则下列不等式成立的是( )

A. B.

C. D.

查看答案和解析>>

科目:高中数学 来源:2015-2016学年湖北省宜昌市高二上期中文科数学试卷(解析版) 题型:选择题

某大学中文系共有本科生5000人,其中一、二、三、四年级的学生比为5:4:3:1, 要用分层抽样的方法从该系所有本科生中抽取一个容量为260的样本,则应抽二年级的学生( )

A.80人 B.60人 C.100人 D.20人

查看答案和解析>>

科目:高中数学 来源:2016届云南省玉溪市高三上学期期中理科数学试卷(解析版) 题型:填空题

已知为三角形的边的中点,点满足,则实数的值为

查看答案和解析>>

同步练习册答案