精英家教网 > 高中数学 > 题目详情
已知△ABC三个内角A、B、C的对边分别为 a、b、c,向量 =(cos,sin),=(cos,-sin),且的夹角为
(Ⅰ)求角C的值;
(Ⅱ)已知c=3,△ABC的面积S=,求a+b的值.
【答案】分析:(Ⅰ)利用向量的数量积公式,结合二倍角公式,即可求C的值;
(Ⅱ)利用c=3,△ABC的面积S=,结合(a+b)2=a2+b2-2ab,即可求得结论.
解答:解:(Ⅰ)由题意=(cos,sin)•(cos,-sin)=1×1×
∴cosC=
∵0<C<π
∴C=
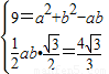
(Ⅱ)∵c=3,△ABC的面积S=


∴(a+b)2=a2+b2-2ab=
∴a+b=
点评:本题考查向量的数量积公式,考查余弦定理、三角形面积公式,考查学生的计算能力,属于中档题.
练习册系列答案
相关习题

科目:高中数学 来源: 题型:

已知△ABC三个内角A、B、C的对边分别为a、b、c,向量.
m
=(cos
A
2
,sin
A
2
)  ,
n
=(cos
A
2
,-sin
A
2
)
,且
m
n
的夹角为
π
3

(1)求A;
(2)已知a=
7
2
,求bc的最大值.

查看答案和解析>>

科目:高中数学 来源: 题型:

已知△ABC三个内角A,B,C的对边分别为a,b,c,
3
b=2a•sinB
,且
AB
AC
>0

(1)求∠A的度数;
(2)若cos(A-C)+cosB=
3
2
,a=6,求△ABC的面积.

查看答案和解析>>

科目:高中数学 来源: 题型:

已知△ABC三个内角A,B,C的对边分别为a,b,c,
AB
AC
=6
,向量
s
=(cosA,sinA)
与向量
t
=(4,-3)
相互垂直.
(Ⅰ)求△ABC的面积;
(Ⅱ)若b+c=7,求a的值.

查看答案和解析>>

科目:高中数学 来源: 题型:

已知△ABC三个内角A、B、C的对边分别为 a、b、c,向量 
 m
=(cos
C
2
,sin
C
2
),
n
=(cos
C
2
,-sin
C
2
),且
m
n
的夹角为
π
3

(Ⅰ)求角C的值;
(Ⅱ)已知c=3,△ABC的面积S=
4
3
3
,求a+b的值.

查看答案和解析>>

科目:高中数学 来源: 题型:

已知△ABC三个内角A、B、C的对边为a、b、c,
m
=(a,cosB),
n
=(cosA,-b),a≠b
,已知
m
n

(1)判断三角形的形状,并说明理由.
(2)若y=
sinA+sinB
sinAsinB
,试确定实数y的取值范围.

查看答案和解析>>

同步练习册答案