精英家教网 > 高中数学 > 题目详情

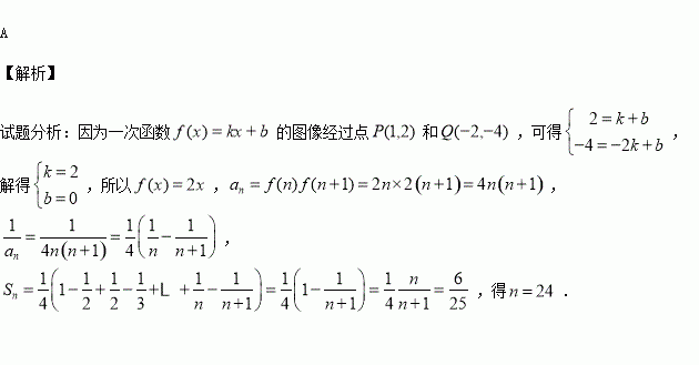
已知一次函数的图像经过点,令,记数列的前项和为,当时,的值等于( )

A. B. C. D.

练习册系列答案
相关习题

科目:高中数学 来源:2015-2016学年湖南衡阳八中高二上学期期中文科数学试卷(解析版) 题型:选择题

已知函数,若存在唯一的零点,且,则的取值范围是( )

A、 B、 C、 D、

查看答案和解析>>

科目:高中数学 来源:2015-2016学年吉林省扶余市高一上学期期中考试数学试卷(解析版) 题型:解答题

计算:

(1)

(2)2lg5+lg8+lg5×lg20+lg22.

查看答案和解析>>

科目:高中数学 来源:2016届四川省成都市高三11月段测三文科数学试卷(解析版) 题型:填空题

式子tan20° +tan40°+tan20°tan40°的值是____.

查看答案和解析>>

科目:高中数学 来源:2016届四川省成都市高三11月段测三理科数学试卷(解析版) 题型:选择题

在△ABC中,三内角A,B,C的对边分别为a,b,c,面积为S,若S+a2=(b+c)2,则cosA等于( )

A. B.— C. D.—

查看答案和解析>>

科目:高中数学 来源:2016届江西省高三上学期第三次考试理科数学试卷(解析版) 题型:选择题

已知函数,(a为常数且),若处取得极值,且,而上恒成立,则的取值范围( )

A. B. C. D.

查看答案和解析>>

科目:高中数学 来源:2015-2016学年浙江省高二上学期期中数学试卷(解析版) 题型:选择题

已知数列满足:,那么使成立的n的最大值为( )

A.4 B.5 C.24 D.25

查看答案和解析>>

科目:高中数学 来源:2015-2016学年安徽师大附中高二上学期期中文科数学试卷(解析版) 题型:解答题

在平面直角坐标系中,已知曲线上的任意一点到点A(-1,0),B(1,0)的距离之和为

(Ⅰ)求曲线的方程;

(Ⅱ)设椭圆,若斜率为的直线交椭圆于点,垂直于的直线交曲线于点,求证:的最小值为

查看答案和解析>>

科目:高中数学 来源:2015-2016学年广东省清远市实验学校高二上学期期中数学试卷(解析版) 题型:填空题

在点处的切线方程为________。

查看答案和解析>>

同步练习册答案