精英家教网 > 高中数学 > 题目详情
已知||=3,A、B分别在x轴和y轴上运动,O为原点,则动点P的轨迹方程是( )
A.
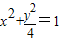
B.
C.
D.
【答案】分析:设动点P坐标为P(x,y),A(a,0),B(0,b),欲求出动点P的轨迹方程,只须求出x,y的关系式即可,结合向量关系式,用坐标来表示向量,利用a,b的关系即可求得点P的轨迹方程.
解答:解:设动点P坐标为P(x,y),A(a,0),B(0,b),
得:
(x,y)=(a,0)+(0,b)
∴a=3x.b=
∵||=3,∴a2+b2=9,
∴(3x)2+=9,

故选B.
点评:本题考查轨迹方程,利用的是相关点法,相关点法:根据相关点所满足的方程,通过转换而求动点的轨迹方程.
练习册系列答案
相关习题

科目:高中数学 来源: 题型:

已知3-x=a,=b,则a,b间的大小关系是___________.

查看答案和解析>>

科目:高中数学 来源:2007-2008学年湖南省永州市祁阳二中高二(下)期中数学试卷(解析版) 题型:选择题

已知||=3,A、B分别在x轴和y轴上运动,O为原点,则动点P的轨迹方程是( )
A.
B.
C.
D.

查看答案和解析>>

科目:高中数学 来源:2008-2009学年浙江省温州市瑞安中学高二(下)期中数学试卷(文科)(解析版) 题型:选择题

已知||=3,A、B分别在x轴和y轴上运动,O为原点,则动点P的轨迹方程是( )
A.
B.
C.
D.

查看答案和解析>>

科目:高中数学 来源:2009-2010学年浙江省台州市椒江区育英学校高二(上)第三次月考数学试卷(理科)(解析版) 题型:选择题

已知||=3,A、B分别在x轴和y轴上运动,O为原点,则动点P的轨迹方程是( )
A.
B.
C.
D.

查看答案和解析>>

同步练习册答案