精英家教网 > 高中数学 > 题目详情
过抛物线y2=2x的焦点作一条直线与抛物线交于两点,它们的横坐标之和等于2,则这样的直线( )
A.有且只有一条
B.有且只有两条
C.有且只有三条
D.有且只有四条
【答案】分析:过抛物线y2=2x的焦点作一条直线与抛物线相交于A、B两点,先看直线AB斜率不存在时,横坐标之和等于1,不适合;若直线斜率存在时,利用横坐标之和等于2,进而设直线AB为y=k(x-1)与抛物线方程联立消去y,进而根据伟大定理表示出A、B两点的横坐标之和,进而求得k.得出结论.
解答:解:过抛物线y2=2x的焦点作一条直线与抛物线相交于A、B两点,
若直线AB的斜率不存在,则横坐标之和等于1,不适合.
若直线斜率存在时,设直线AB的斜率为k,则直线AB为y=k(x-
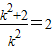
代入抛物线y2=2x得,k2x2-(k2+2)x+k2=0
∵A、B两点的横坐标之和等于2,
,k2=2,k=±
则这样的直线有且仅有两条,
故选B.
点评:本题主要考查了双曲线的应用.解题的时候要注意讨论直线斜率不存在时的情况,以免遗漏.
练习册系列答案
相关习题

科目:高中数学 来源: 题型:

过抛物线y2=2x的焦点F作倾斜角为45°的直线交抛物线于A,B,则线段AB的长为
 

查看答案和解析>>

科目:高中数学 来源: 题型:

过抛物线y2=2x的焦点F作直线l交抛物线于A、B两点,若
1
|AF|
-
1
|BF|
=1,则直线l
的倾斜角θ(0<θ≤
π
2
)
等于(  )
A、
π
2
B、
π
3
C、
π
4
D、
π
6

查看答案和解析>>

科目:高中数学 来源: 题型:

过抛物线y2=2x的焦点作一条直线与抛物线交于两点,它们的横坐标之和等于2,则这样的直线(  )
A、有且只有一条B、有且只有两条C、有且只有三条D、有且只有四条

查看答案和解析>>

科目:高中数学 来源: 题型:

过抛物线y2=2x的对称轴上的定点M(m,0),(m>0),作直线AB交抛物线于A,B两点.
(1)试证明A,B两点的纵坐标之积为定值;
(2)若△OAB的面积的最小值为4,求m的值.

查看答案和解析>>

科目:高中数学 来源: 题型:

过抛物线y2=2x的焦点作直线交抛物线于P(x1,y1),Q(x2,y2)两点,若x1+x2=3,则|PQ|=
4
4

查看答案和解析>>

同步练习册答案