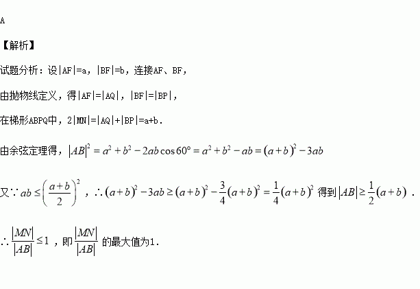
抛物线y2=2px(p>0)的焦点为F,准线为l,A、B为抛物线上的两个动点,且满足∠AFB=
,设线段AB的中点M在l上的投影为N,则
的最大值为( )
A.1 B.2 C.3 D.4
科目:高中数学 来源:2015-2016学年浙江省高一下学期期中数学试卷(解析版) 题型:解答题
已知直线
.
(Ⅰ)证明:直线
过定点;
(Ⅱ)若直线
与直线
平行,求
的值并求此时两直线间的距离.
查看答案和解析>>
科目:高中数学 来源:2015-2016学年湖北省黄石市高二下期中文科数学试卷(解析版) 题型:解答题
某数学教师对所任教的两个班级各抽取20名学生进行测试,分数分布如右表:
(Ⅰ)若成绩120分以上(含120分)为优秀,求从乙班参加测试的90分以上(含90分)的同学中随机任取2名同学,恰有1人为优秀的概率;
(Ⅱ)根据以上数据完成下面的
×
列联表: 在犯错概率小于0.1的前提下,你是否有足够的把握认为学生的数学成绩是否优秀与班级有关系?
分数区间 | 甲班频率 | 乙班频率 |
| 0.1 | 0.2 |
| 0.2 | 0.2 |
| 0.3 | 0.3 |
| 0.2 | 0.2 |
| 0.2 | 0.1 |
其中
![]()
|
|
|
|
|
|
|
|
|
|
|
|
|
|
|
|
优秀 | 不优秀 | 总计 | |
甲班 | |||
乙班 | |||
总计 |
查看答案和解析>>
科目:高中数学 来源:2015-2016学年湖北省黄石市高二下期中理科数学试卷(解析版) 题型:填空题
已知F1、F2为双曲线
的两个焦点,P为双曲线右支上异于顶点的任意一点,O为坐标原点,下列四个命题:
①△PF1F2的内切圆的圆心必在直线x=3上;②△PF1F2的内切圆的圆心必在直线x=2上;③△PF1F2的内切圆的圆心必在直线OP上;④△PF1F2的内切圆必过(3,0).
其中真命题的序号是 ______.
查看答案和解析>>
科目:高中数学 来源:2015-2016学年湖北省黄石市高二下期中理科数学试卷(解析版) 题型:选择题
将参加夏令营的600名学生编号为:001,002,……600,采用系统抽样方法抽取一个容量为50的样本,且随机抽得的号码为003.这600名学生分住在三个营区,从001到300在第Ⅰ营区,从301到495住在第Ⅱ营区,从496到600在第Ⅲ营区,三个营区被抽中的人数一次为( )
A.26, 16, 8 B.25,17,8 C.25,16,9 D.24,17,9
查看答案和解析>>
科目:高中数学 来源:2015-2016学年湖北省襄阳市四校高一下学期期中联考数学试卷(解析版) 题型:解答题
阅读下面材料:
根据两角和与差的正弦公式,有
①,
②
由① + ② 得:
③
令
,
,有
,![]()
代入③得:
.
(1)类比上述推理方法,根据两角和与差的余弦公式,证明:
;
(2)若△ABC的三个内角A、B、C满足
,试判断△ABC的形状.
(提示:如果需要,也可以直接利用阅读材料及(1)中的结论).
查看答案和解析>>
科目:高中数学 来源:2015-2016学年湖北省襄阳市四校高一下学期期中联考数学试卷(解析版) 题型:选择题
若等差数列
满足
,则当
=( )时,
的前
项和最大.
A.8 B.9 C.10 D.11
查看答案和解析>>
科目:高中数学 来源:2015-2016学年广东省高一下第一次月考文科数学试卷(解析版) 题型:选择题
下列四个图各反映了两个变量的某种关系,其中可以看作具有较强线性相关关系的是( )
A.①③ B.①④ C.②③ D.①②
查看答案和解析>>
湖北省互联网违法和不良信息举报平台 | 网上有害信息举报专区 | 电信诈骗举报专区 | 涉历史虚无主义有害信息举报专区 | 涉企侵权举报专区
违法和不良信息举报电话:027-86699610 举报邮箱:58377363@163.com