精英家教网 > 高中数学 > 题目详情

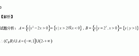
集合,R是实数集,则等于( )

A. B. C. D.

练习册系列答案
相关习题

科目:高中数学 来源:2015-2016学年黑龙江省牡丹江市高一上学期9月月考数学试卷(解析版) 题型:选择题

已知函数,则=( )

A. B. C.2 D.4

查看答案和解析>>

科目:高中数学 来源:2015-2016学年广东省清远市实验学校高二10月月考数学试卷(解析版) 题型:选择题

已知变量满足约束条件,则的最大值为( )

A.3 B. C.12 D.11

查看答案和解析>>

科目:高中数学 来源:2015-2016学年福建省福安市高二上学期第一次月考试数学试卷(解析版) 题型:选择题

若等比数列{an}的前n项和Sn,且S10=18,S20=24,则S40等于 ( )

A. B. C. D.

查看答案和解析>>

科目:高中数学 来源:2015-2016学年安徽省合肥市高二上开学考试理科数学试卷(解析版) 题型:选择题

已知函数= ( )

A.3 B. C.1 D.2

查看答案和解析>>

科目:高中数学 来源:2015-2016学年甘肃天水秦安二中高二上学期第一次月考文科数学试卷(解析版) 题型:选择题

到两定点的距离之和为8的点的轨迹是( )

A.椭圆 B.线段 C.圆 D.直线

查看答案和解析>>

科目:高中数学 来源:2015-2016学年河北省高二上学期第一次月考试数学试卷(解析版) 题型:解答题

(12分)已知等差数列的前项和为,

(1)求数列的通项公式;

(2)设,求数列的前项和

查看答案和解析>>

科目:高中数学 来源:2015-2016学年河南省高一10月月考数学试卷(解析版) 题型:填空题

已知方程若三个方程中至少有一个方程有实根,则实数的取值范围

查看答案和解析>>

科目:高中数学 来源:2015-2016学年湖北省武汉市硚口区高二9月调研考试文科数学试卷(解析版) 题型:解答题

(本题满分11分)若的内角所对的边分别为,且满足

(1)求

(2)当时, 求的面积.

查看答案和解析>>

同步练习册答案