精英家教网 > 高中数学 > 题目详情
如图所示,已知正三棱柱ABC-A1B1C1的各条棱长都相等,M是侧棱CC1的中点,则异面直线AB1和BM所成的角的大小是   
【答案】分析:由题意设棱长为a,补正三棱柱ABC-A2B2C2,构造直角三角形A2BM,解直角三角形求出BM,利用勾股定理求出A2M,从而求解.
解答:解:设棱长为a,补正三棱柱ABC-A2B2C2(如图).
平移AB1至A2B,连接A2M,∠MBA2即为AB1与BM所成的角,
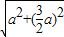
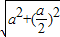
在△A2BM中,A2B=a,BM==a,
A2M==a,
∴A2B2+BM2=A2M2
∴∠MBA2=90°.
故答案为90°.
点评:此题主要考查了异面直线及其所成的角和勾股定理的应用,计算比较复杂,要仔细的做.
练习册系列答案
相关习题

科目:高中数学 来源: 题型:

精英家教网如图所示,已知正三棱柱ABC-A1B1C1的各条棱长都相等,M是侧棱CC1的中点,则异面直线AB1和BM所成的角的大小是
 

查看答案和解析>>

科目:高中数学 来源: 题型:

如图所示,已知正三棱柱的各条棱长都为,P为上的点。

(1)试确定的值,使PCAB;

(2)若,求二面角的大小;

(3)在(2)的条件下,求到平面PAC的距离。

查看答案和解析>>

科目:高中数学 来源:2012-2013学年内蒙古包头33中高三(上)期中数学试卷(文科)(解析版) 题型:填空题

如图所示,已知正三棱柱ABC-A1B1C1的各条棱长都相等,M是侧棱CC1的中点,则异面直线AB1和BM所成的角的大小是   

查看答案和解析>>

科目:高中数学 来源:2011年高三数学第一轮复习精练:立体几何(解析版) 题型:解答题

如图所示,已知正三棱柱ABC-A1B1C1的各条棱长都相等,M是侧棱CC1的中点,则异面直线AB1和BM所成的角的大小是   

查看答案和解析>>

科目:高中数学 来源:2009年四川省高考数学试卷(文科)(解析版) 题型:解答题

如图所示,已知正三棱柱ABC-A1B1C1的各条棱长都相等,M是侧棱CC1的中点,则异面直线AB1和BM所成的角的大小是   

查看答案和解析>>

同步练习册答案