精英家教网 > 高中数学 > 题目详情

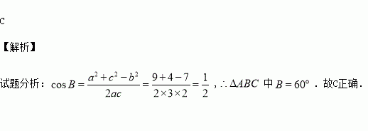
△ABC中,a=3,b=,c=2,那么B等于 ( )

A.30° B.45° C.60° D.120°

练习册系列答案
相关习题

科目:高中数学 来源:2016届江西省高三上学期第三次考试理科数学试卷(解析版) 题型:选择题

等差数列中,为等比数列,且,则的值为( )

A.4 B.2 C.16 D.8

查看答案和解析>>

科目:高中数学 来源:2015-2016学年湖南省高二上学期期中文科数学试卷(解析版) 题型:填空题

已知tanα=4,tanβ=3,则tan(α+β)=

查看答案和解析>>

科目:高中数学 来源:2015-2016学年江苏省大丰市高二上学期期中考试数学试卷(解析版) 题型:填空题

双曲线的焦点在x轴上,实轴长为6,虚轴长为8,则双曲线的标准方程是

查看答案和解析>>

科目:高中数学 来源:2015-2016学年吉林省扶余市高二上学期期中考试文科数学试卷(解析版) 题型:解答题

给定两个命题: P:对任意实数都有恒成立;Q:关于的方程有实数根;如果P与Q中有且仅有一个为真命题,求实数的取值范围.

查看答案和解析>>

科目:高中数学 来源:2015-2016学年吉林省扶余市高二上学期期中考试理科数学试卷(解析版) 题型:选择题

已知命题”,“p”和“

式的命题中,真命题的个数是( )

A.3 B.2 C.1 D.0

查看答案和解析>>

科目:高中数学 来源:2015-2016学年福建省高一上学期期中考试数学试卷(解析版) 题型:解答题

(本小题满分12分)某滨海高档住宅小区给每一户业主均提供两套供水方案.方案一是供应市政自来水,每吨自来水的水费是2元;方案二是限量供应10吨海底岩层中的温泉水,若温泉水用水量不超过5吨,则按基本价每吨8元收取,超过5吨不超过8吨的部分按基本价的1.5倍收取,超过8吨不超过10吨的部分按基本价的2倍收取.

(1)试写出温泉水用水费(元)与其用水量(吨)之间的函数关系式;

(2)若业主小王缴纳10月份的物业费时发现一共用水16吨,被收取的费用为72元,那么他当月的自来水与温泉水用水量各为多少吨?

查看答案和解析>>

科目:高中数学 来源:2014-2015学年上海市高二下学期期末考试数学试卷(解析版) 题型:选择题

方程的图象表示曲线C,则以下命题中

甲:曲线C为椭圆,则1<t<4;

乙:若曲线C为双曲线,则t>4或t<1;

丙:曲线C不可能是圆;

丁:曲线C表示椭圆,且长轴在x轴上,则

正确的有( )

A.1个 B.2个 C.3个 D.4个

查看答案和解析>>

科目:高中数学 来源:2015-2016学年江西省赣州市十三县高二上期中联考理科数学试卷(解析版) 题型:选择题

中,内角的对边分别是,若,则

( )

A.30° B.60° C.120° D.150°

查看答案和解析>>

同步练习册答案