精英家教网 > 高中数学 > 题目详情
若点P在直线l1:x+my+3=0上,过点P的直线l2与圆C:(x-5)2+y2=16只有一个公共点M,且|PM|的最小值为4,则m=   
【答案】分析:先利用圆的切线长定理,推出要|PM|最小,只需|PC|最小,即圆心C到直线l1的距离最小,利用点到直线的距离公式可计算此距离,再结合已知条件列关于m的方程即可解得m的值
解答:解:由题意l2与圆C只一个交点,说明l2是圆C的切线,由于|PM|2=|PC|2-|CM|2=|PC|2-16,所以要|PM|最小,只需|PC|最小,
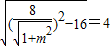
即点C到l1的距离
∴|PM|的最小值为
解得m=±1.
故答案为±1
点评:本题主要考查了直线与圆的位置关系,切线长定理,点到直线的距离公式,转化化归的思想方法,属基础题.
练习册系列答案
相关习题

科目:高中数学 来源: 题型:

若点P在直线l1:x+y+3=0上,过点P的直线l2与曲线C:(x-5)2+y2=16只有一个公共点M,则|PM|的最小值为
 

查看答案和解析>>

科目:高中数学 来源: 题型:

若点P在直线l1:x+y+3=0上,过点P的直线l2与曲线C:(x-5)2+y2=16相切于点M,则|PM|的最小值为(  )
A、
2
B、2
C、2
2
D、4

查看答案和解析>>

科目:高中数学 来源: 题型:

(2013•广西一模)若点P在直线l1:x+my+3=0上,过点P的直线l2与圆C:(x-5)2+y2=16只有一个公共点M,且|PM|的最小值为4,则m=
±1
±1

查看答案和解析>>

科目:高中数学 来源:2013年广西桂林市高考数学一模试卷(理科)(解析版) 题型:填空题

若点P在直线l1:x+my+3=0上,过点P的直线l2与圆C:(x-5)2+y2=16只有一个公共点M,且|PM|的最小值为4,则m=   

查看答案和解析>>

科目:高中数学 来源:2011年广东省高考数学二轮综合测试卷3(文科)(解析版) 题型:选择题

若点P在直线l1:x+y+3=0上,过点P的直线l2与曲线C:(x-5)2+y2=16相切于点M,则|PM|的最小值为( )
A.
B.2
C.
D.4

查看答案和解析>>

同步练习册答案