精英家教网 > 高中数学 > 题目详情
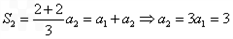
已知数列中,,前项和
(Ⅰ)求
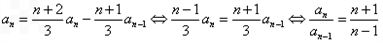
(Ⅱ)求的通项公式
解:(1)由可得

故所求的值分别为
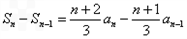
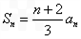
(2)当时,①      
①-②可得

故有
,所以的通项公式为
练习册系列答案
相关习题

科目:高中数学 来源: 题型:

(09年北京四中期中理)(13分)已知数列中,,前项和为,对于任意的总成等差数列.

(1)求的值;

(2)求通项

(3)计算

查看答案和解析>>

科目:高中数学 来源: 题型:

(08年荆州市质检二文) (12分)已知数列中,,前项和为,对于任意时,总成等差数列。

⑴求数列的通项公式;

⑵若数列满足,求数列的前项和

查看答案和解析>>

科目:高中数学 来源: 题型:

已知数列中,,前项和为

   (I)证明数列是等差数列,并求出数列的通项公式;

   (II)设,数列的前项和为,求使不等式对一切都成立的最大正整数的值。

查看答案和解析>>

科目:高中数学 来源:2013届陕西省西安市高二下学期期中理科数学试卷(解析版) 题型:解答题

已知数列中,的前项和,且的等差中项,其中是不等于零的常数.

(1)求; (2)猜想的表达式,并用数学归纳法加以证明.

 

查看答案和解析>>

科目:高中数学 来源: 题型:

已知数列中,,前项和为

(1)求数列的通项公式;

(2)设数列的前n项和为,求满足不等式值.

查看答案和解析>>

同步练习册答案