精英家教网 > 高中数学 > 题目详情
数列{an}中,a3=2,a5=1,如果数列是等差数列,则a11=( )
A.
B.0
C.
D.
【答案】分析:设数列 的公差为d,根据等差数列的性质,求出d,在根据等差数列的性质  ,即可求出a11
解答:解:设数列 的公差为d
∵数列{an}中,a3=2,a5=1,如果数列是等差数列

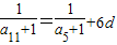
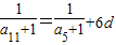
将a3=2,a7=1代入得:d=

∴a11=0
故选B.
点评:本题从等差数列的性质出发,避免了从首相入手的常规解法,起到简化问题的作用,属于基础题.
练习册系列答案
相关习题

科目:高中数学 来源: 题型:

数列{an}中,a3=2,a7=1,数列{
1an+1
}
是等差数列,则a11=
 

查看答案和解析>>

科目:高中数学 来源: 题型:

数列{an}中,a3=2,a7=1,若{
1
an+1
}
为等差数列,则a11=(  )
A、0
B、
1
2
C、
2
3
D、2

查看答案和解析>>

科目:高中数学 来源: 题型:

数列{an}中,a3=2,a5=1,若数列{
1an+1
}
是等差数列,则a11=
0
0

查看答案和解析>>

科目:高中数学 来源: 题型:

在数列{an}中,a3,a10是方程x2-3x-5=0的两根,若{an}是等差数列,则a5+a8=
3
3

查看答案和解析>>

科目:高中数学 来源: 题型:

已知无穷等差数列{an},前n项和Sn中,S6<S7,且S7>S8,则(  )

查看答案和解析>>

同步练习册答案